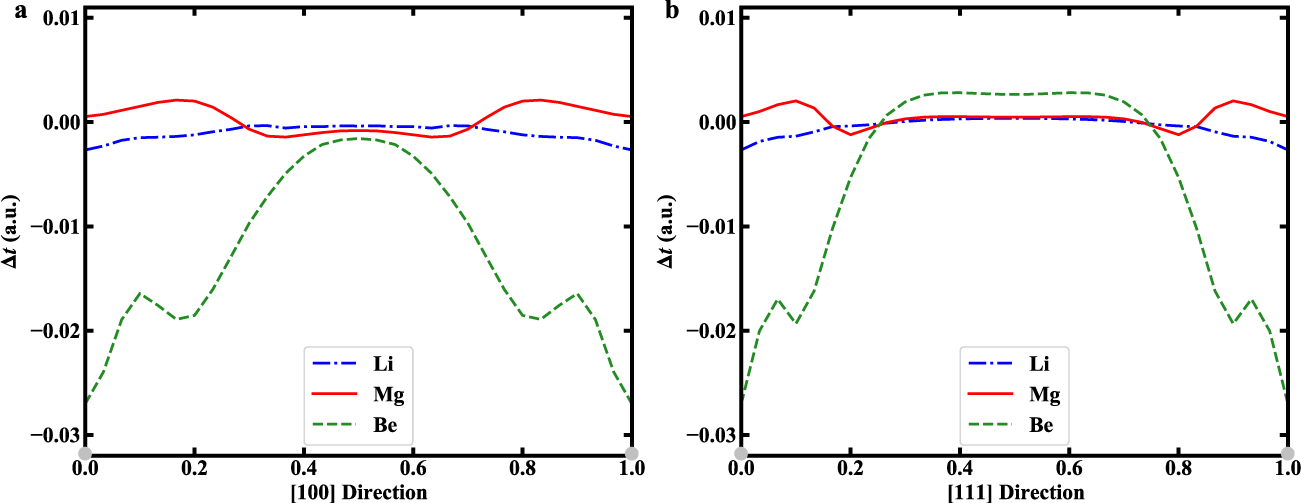
Fig. 4: Kinetic energy differences in SC structure for Li, Mg, and Be systems.
From: Nonlocal pseudopotential energy density functional for orbital-free density functional theory

a The calculated differences along [100] direction. b The calculated differences along [111] direction. Note that \({{\Delta }}t({{{{{{{\bf{r}}}}}}}})\equiv {t}_{s}^{WT}[{\rho }^{KS}]({{{{{{{\bf{r}}}}}}}})-{t}_{s}^{KS}({{{{{{{\bf{r}}}}}}}})\).