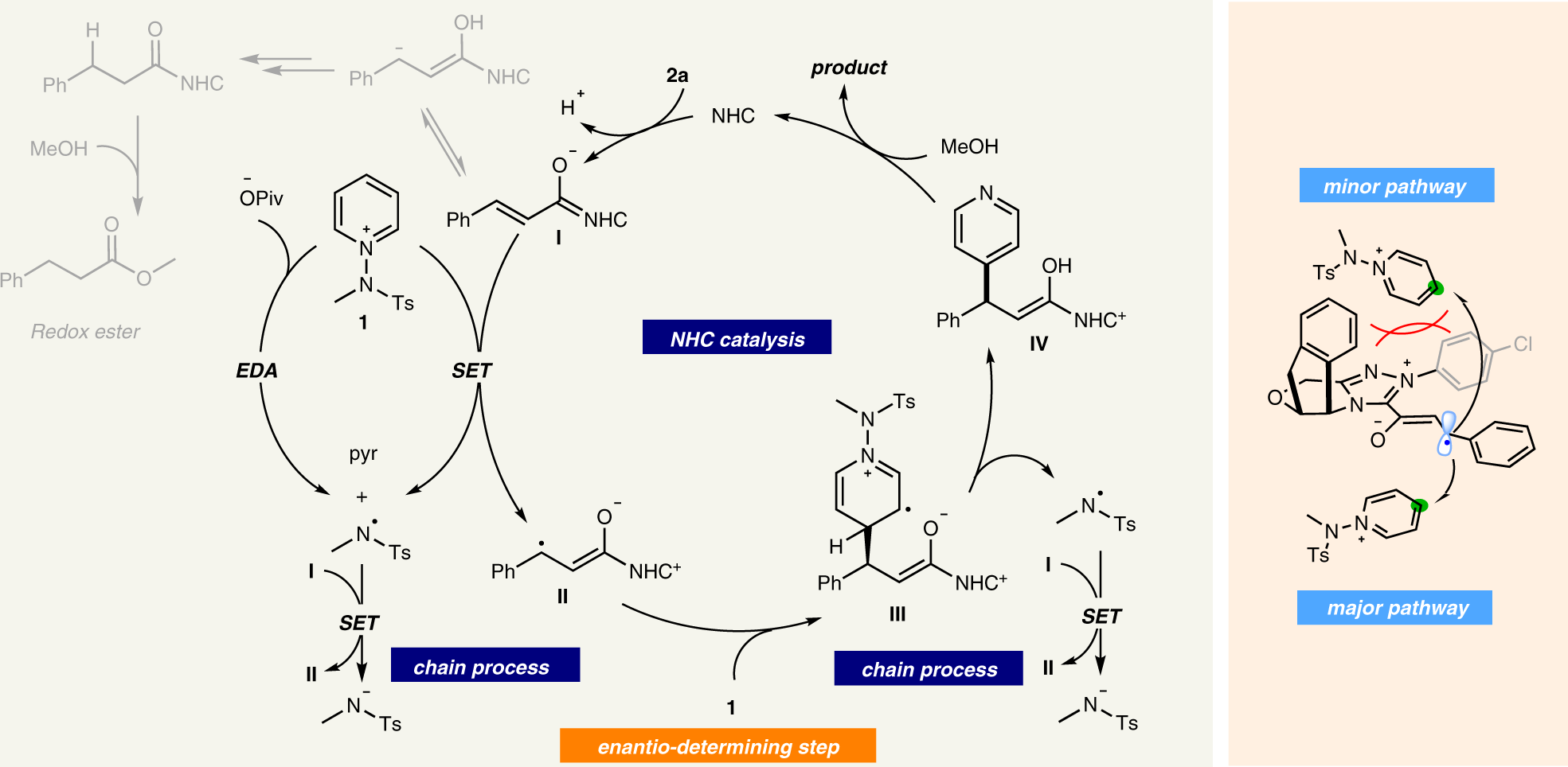
Fig. 5: Proposed reaction mechanism.
From: Enantioselective functionalization at the C4 position of pyridinium salts through NHC catalysis

The asymmetric β-pyridylation was achieved through single-electron NHC catalysis with excellent enantioselectivity.