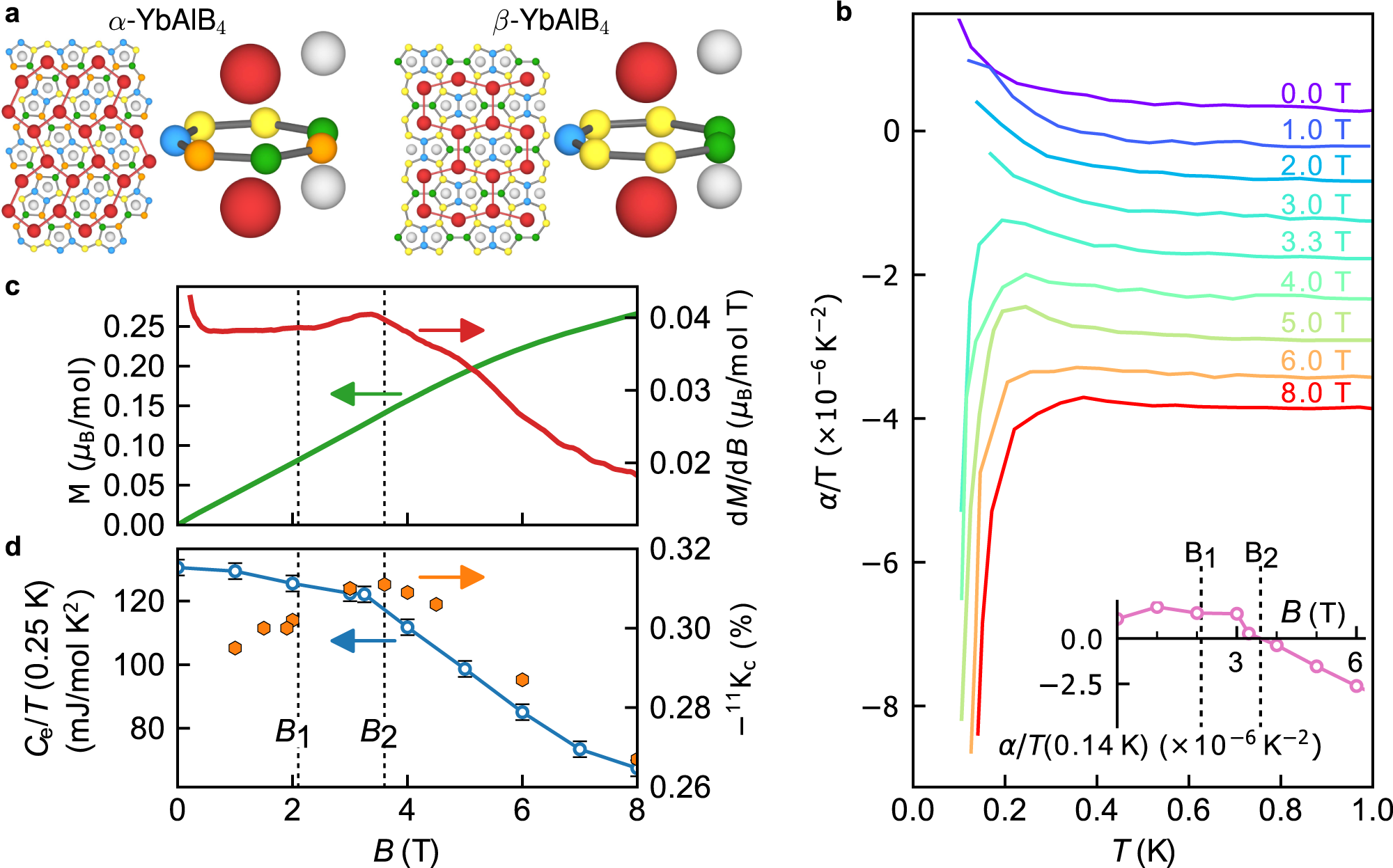
Fig. 1: Crystal structure and magnetic field B∥c axis behavior.
From: Anisotropy-driven quantum criticality in an intermediate valence system

a Crystal structure of YbAlB4 formed from straight and zigzag arrangements of hexagons of Yb atoms, and the atomic neighborhood of Yb ions — the Yb site is shown in red together with the surrounding B and Al sites. B sites are colored in blue, yellow, green and orange according to their symmetry position, while Al is gray. b Thermal expansion ΔLc/Lc and thermal expansion coefficient \({\alpha }_{c}=d\left({{\Delta }}{L}_{c}/{L}_{c}\right)/dT\) along the c axis for several magnetic fields. The inset shows the field dependence of αc taken at 140 mK. c Magnetization and susceptibility χ = dM/dB vs B∥c at T = 0.08 K. d Electronic specific heat coefficient γe measured at 250 mK and Knight shift of the 11B nucleus vs B∥c measured at 142 mK. Vertical error bars in figure are least-square fit errors (1 s.d.).