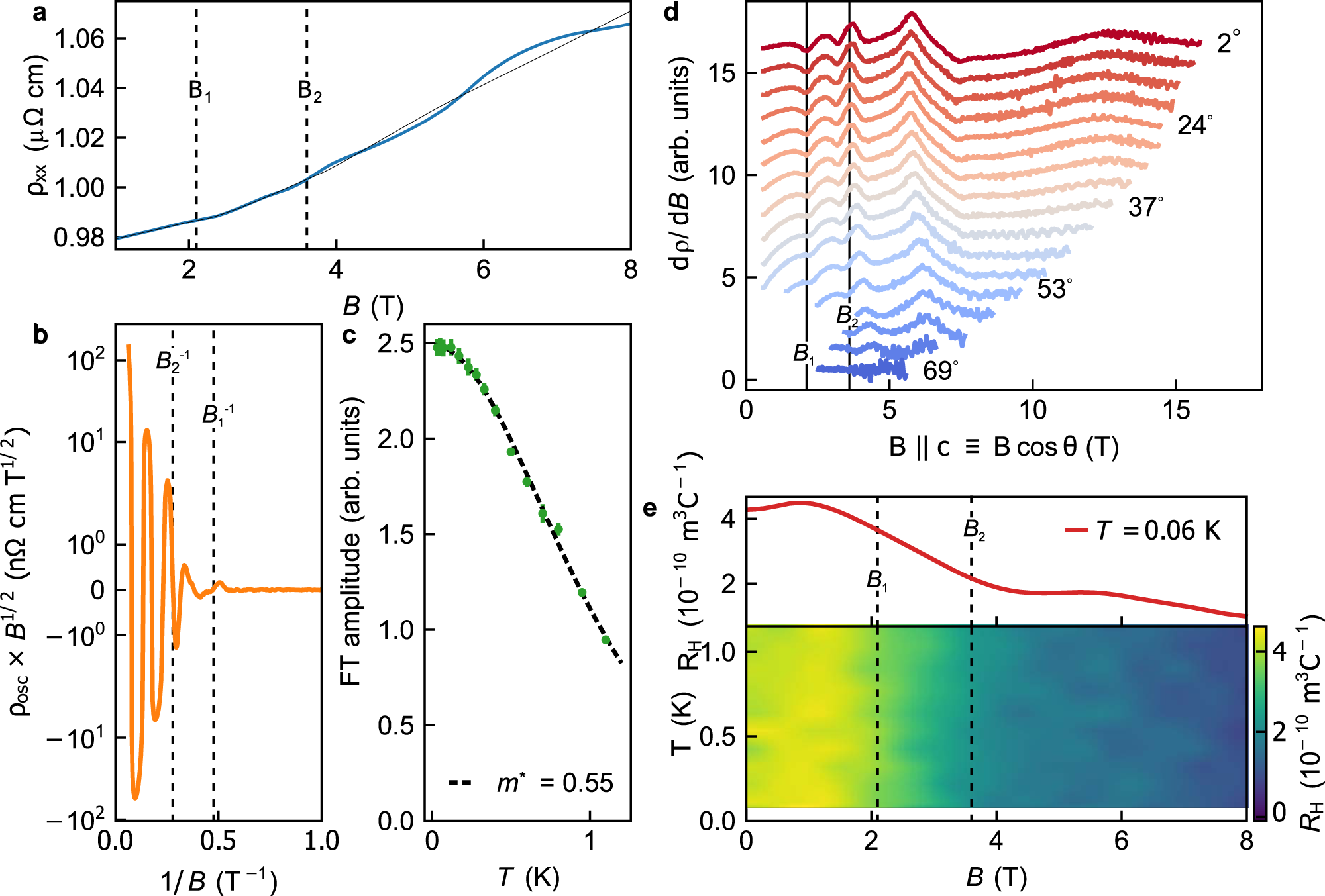
Fig. 3: Quantum oscillations and Hall effect in α-YbAlB4.
From: Anisotropy-driven quantum criticality in an intermediate valence system

a ρ, I∥c vs B∥c at T = 0.03 K, the overlaid black line is the non-oscillatory component, ρMR that is subtracted. b The oscillatory component of resistivity; ρosc × B1/2 plotted on a double logarithmic scale (values < 10−3 are plotted on a linear scale). c Temperature dependence of the Fourier transform of ρosc. d dρ/dB against B∥c at various angles of B in the [001] → [110] plane where θ = 0 ≡ B∥[001]. e (Upper panel) Hall coefficient B∥c at T = 0.06 K. (Lower panel) surface plot of Hall coefficient against field and temperature.