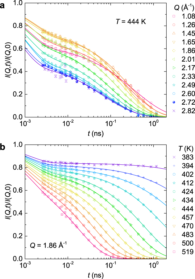
Fig. 2: Representative intermediate scattering functions of CKN.

a T = 444 K at various Q’s between 1.08 Å−1 and 2.82 Å−1, b Q = 1.86 Å−1 at various temperatures between 383 K and 519 K. The solid lines represent fit to Eq. (1). Error bars represent one standard error and are smaller than the symbol size. Source data are provided as a Source Data file.