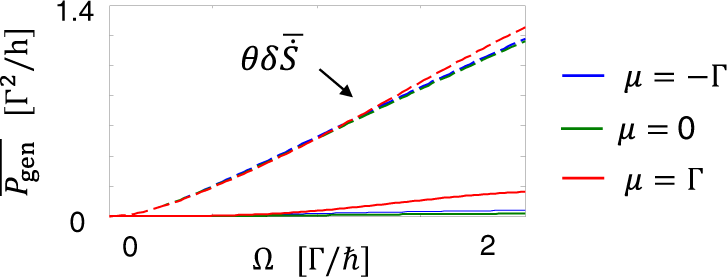
Fig. 4: Power generation from isothermal baths, θL = θR = θ.
From: Beating Carnot efficiency with periodically driven chiral conductors

The power generation is allowed upto \(\theta \delta \overline{\dot{S}}\) (dashed lines) when the AC driving induces additional entropy production, \(\delta \overline{\dot{S}}\, > \,0\). Here kBθ = 0.25Γ.