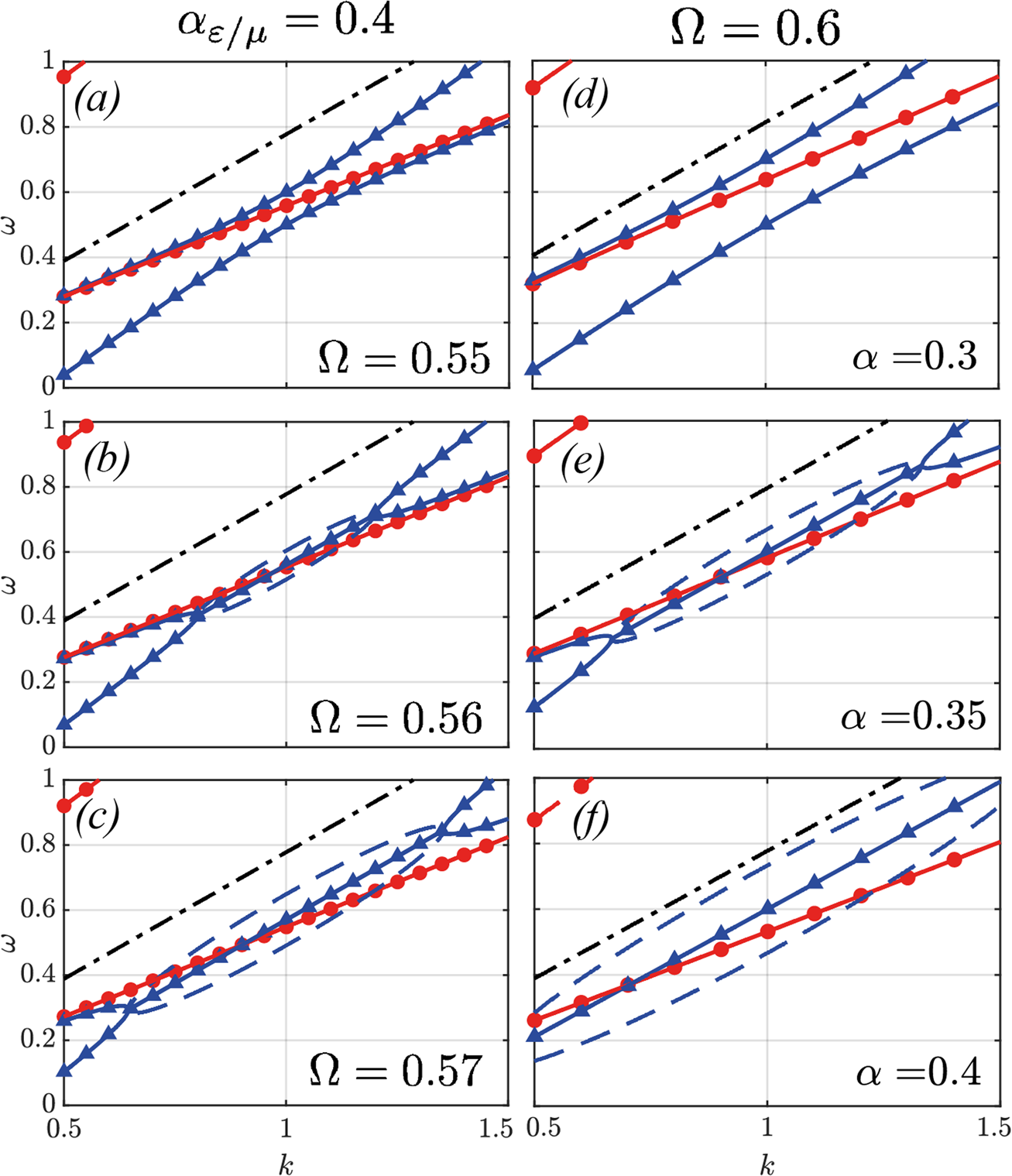
Fig. 6: Band-gap opening for ϕ = 0.

In the left column (a-c) we vary Ω from 0.55 (a) to 0.57 (c) at a fixed α = 0.4 and in the right column we vary α from 0.3 (d) to 0.4 (f) ad a fixed Ω = 0.6. Notice how both parameters induce the attraction between the two bands that gives rise to the transition into the PT-broken phase.