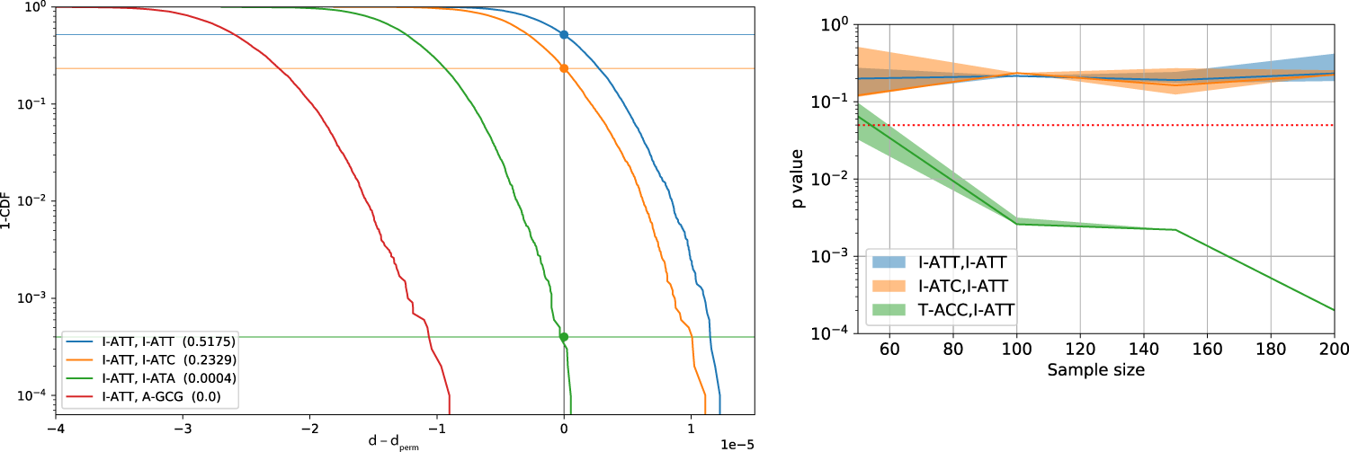
Fig. 7: Example of test statistic distribution in the permutation test.

Left: Codon pairs are compared using the L1 distance statistic between their dihedral angle KDEs in the β-sheet secondary structure mode. For each pair, depicted is one minus the cumulative distribution function (1-CDF) of the difference between the L1 distance between the pair of KDEs and one between the pair of KDEs constructed with permuted labels. The intersection of 1-CDF with the vertical axis yields the p-value of the one-sided test (null hypothesis: d-dperm ≥ 0). When comparing a codon to itself (I-ATT, I-ATT), the null hypothesis holds, and the difference is expected to be positive half of the times (p-value≈0.5). The indistinguishable pair I-ATT, I-ATC produces a high p-value, while the more clearly distinguishable pair I-ATT, I-ATA yield a very low p-value. Two non-synonymous codons (I-ATT, A-GCG) appear perfectly distinguishable. Distributions were calculated using 100 bootstrap samples with 200 permutations in each. Right: p-values of pairwise comparison of a full sample of I-ATT in the β-mode (1365 samples) vs. different sample sizes of I-ATC and T-ACC (N = 50, 100, 150, and 200). The p-value of the distinguishable T-ACC, I-ATT pair decreases with the growth of the sample size. Confidence intervals are 20%- and 80%-percentiles calculated on 10 random trials.