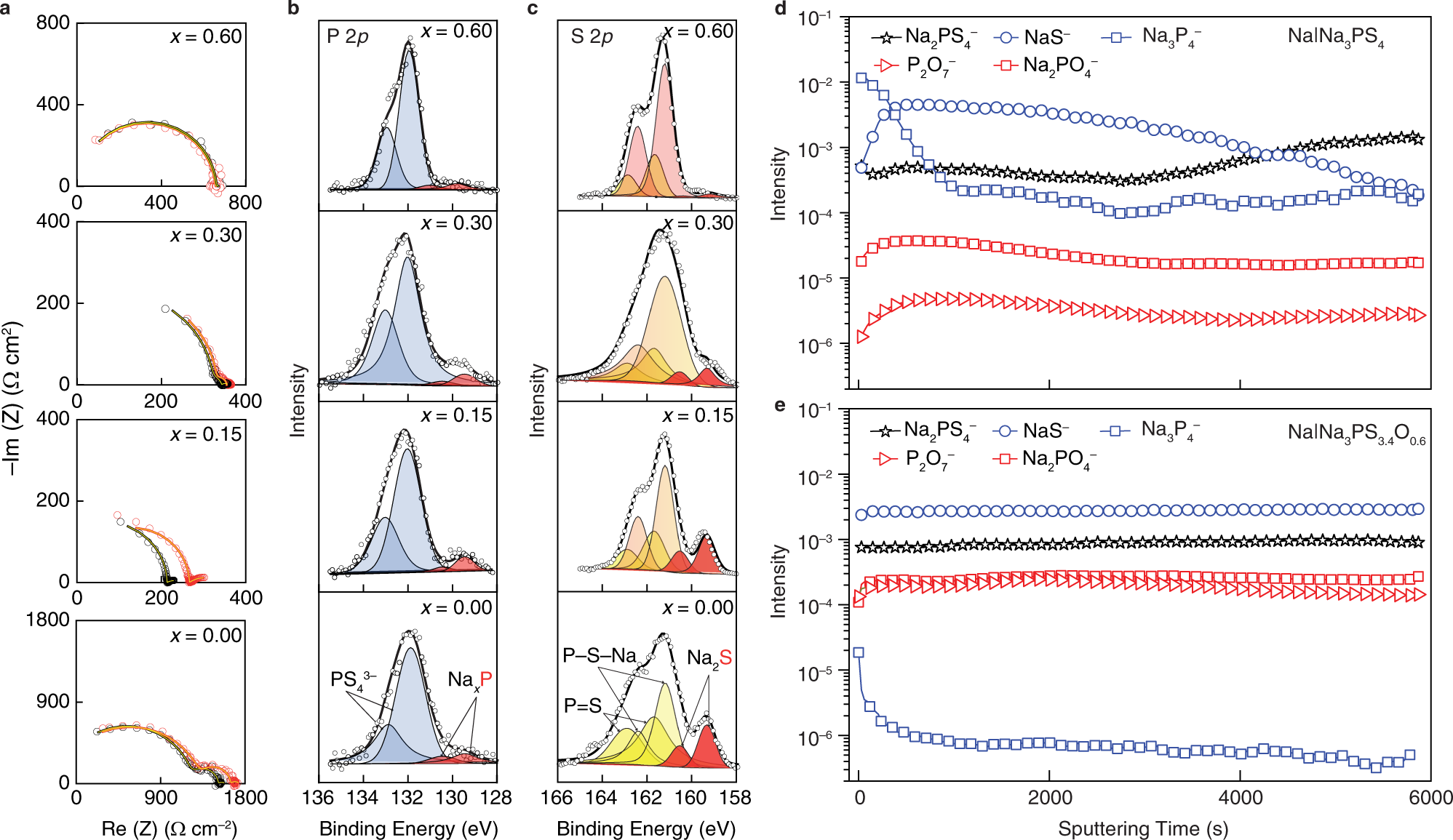
Fig. 4: Chemical stability of Na3PS4−xOx (x = 0, 0.15, 0.30, and 0.60) SEs towards Na metal at 60 °C.

a Electrochemical impedance spectra (EIS) evolution of freshly made Na|SE |Na symmetric cells (black curve) vs after 5 h of rest (red curve); XPS spectra of b P 2p and c S 2p for the interface between Na and SE; d, e Depth profiles of fragments from the ToF-SIMS spectra of the Na|Na3PS4, and Na|Na3PS3.4O0.6 interfaces after 5 h of contact.