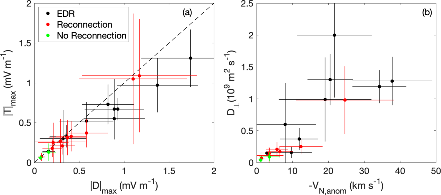
Fig. 5: Statistics of anomalous terms.
From: Direct observations of anomalous resistivity and diffusion in collisionless plasma

Anomalous terms are calculated from 22 magnetopause current sheets with lower hybrid waves. The black points indicate EDR crossings, red points indicate reconnection crossings outside the EDR, and green points indicate boundary crossings without clear evidence of reconnection. The maximum values of the anomalous viscosity and anomalous drag for each event, (\(| {{{{{{{\bf{T}}}}}}}}{| }_{\max }\) and \(| {{{{{{{\bf{D}}}}}}}}{| }_{\max }\)), are comparable. The diffusion coefficient D⊥ tends to increase with the negative of the anomalous flow VN,anom up to tens of km s−1, indicating significant flow from high to low density in the direction normal for large D⊥. a \(| {{{{{{{\bf{T}}}}}}}}{| }_{\max }\) versus \(| {{{{{{{\bf{D}}}}}}}}{| }_{\max }\), b D⊥ versus − VN,anom. The dashed line in panel (a) indicates \(| {{{{{{{\bf{D}}}}}}}}{| }_{\max }=| {{{{{{{\bf{T}}}}}}}}{| }_{\max }\). The horizontal and vertical lines indicate the uncertainties of \(| {{{{{{{\bf{D}}}}}}}}{| }_{\max }\) and \(| {{{{{{{\bf{T}}}}}}}}{| }_{\max }\) in (a) and VN,anom and D⊥ in (b). See Methods, subsection Estimating the anomalous terms for details on the calculation of the uncertainties.