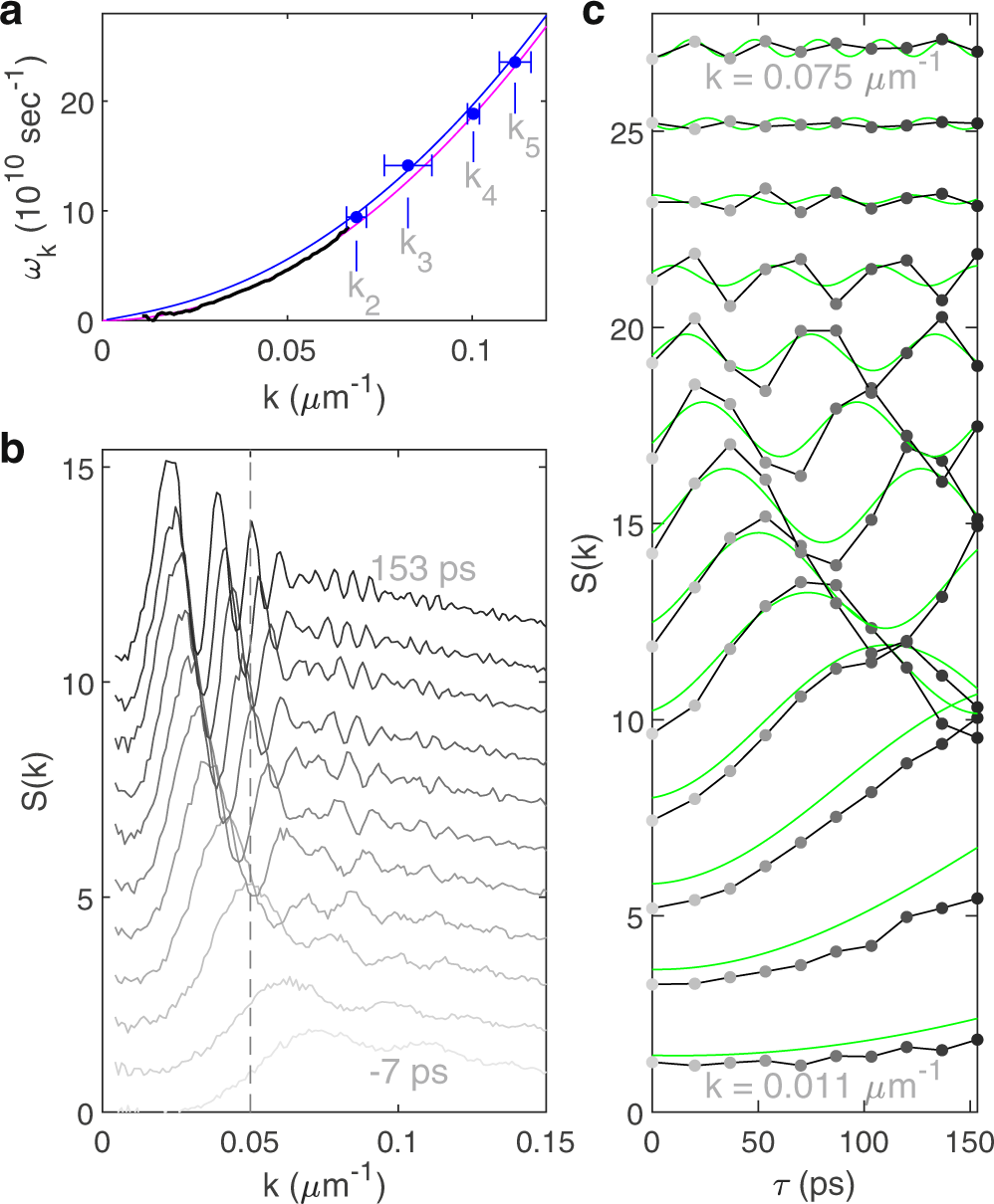
Fig. 4: Individual modes of the analogue cosmological particles.
From: Analogue cosmological particle creation in an ultracold quantum fluid of light

a The dispersion relation. The blue points are derived from the kp in Fig. 3a. The error bars indicate one standard deviation. The black curve is obtained by sinusoidal fits to the gray curves in (c). The magenta curve is the free-particle dispersion relation. The blue curve is the dispersion relation in the interacting fluid of light. b The static structure factor at various times. The curves are from Fig. 3a, and are shifted vertically. The vertical dashed line is used to find the values in (c). c Each curve shows the τ-dependence of a definite k, given by the values along a vertical line in b, such as the dashed line. The grayscale is the same as in (b). The k-values shown are equally spaced by 5.4 × 10-3 µm-1. The green curves are computed with Eq. (2). Each pair of black and green curves has been shifted vertically.