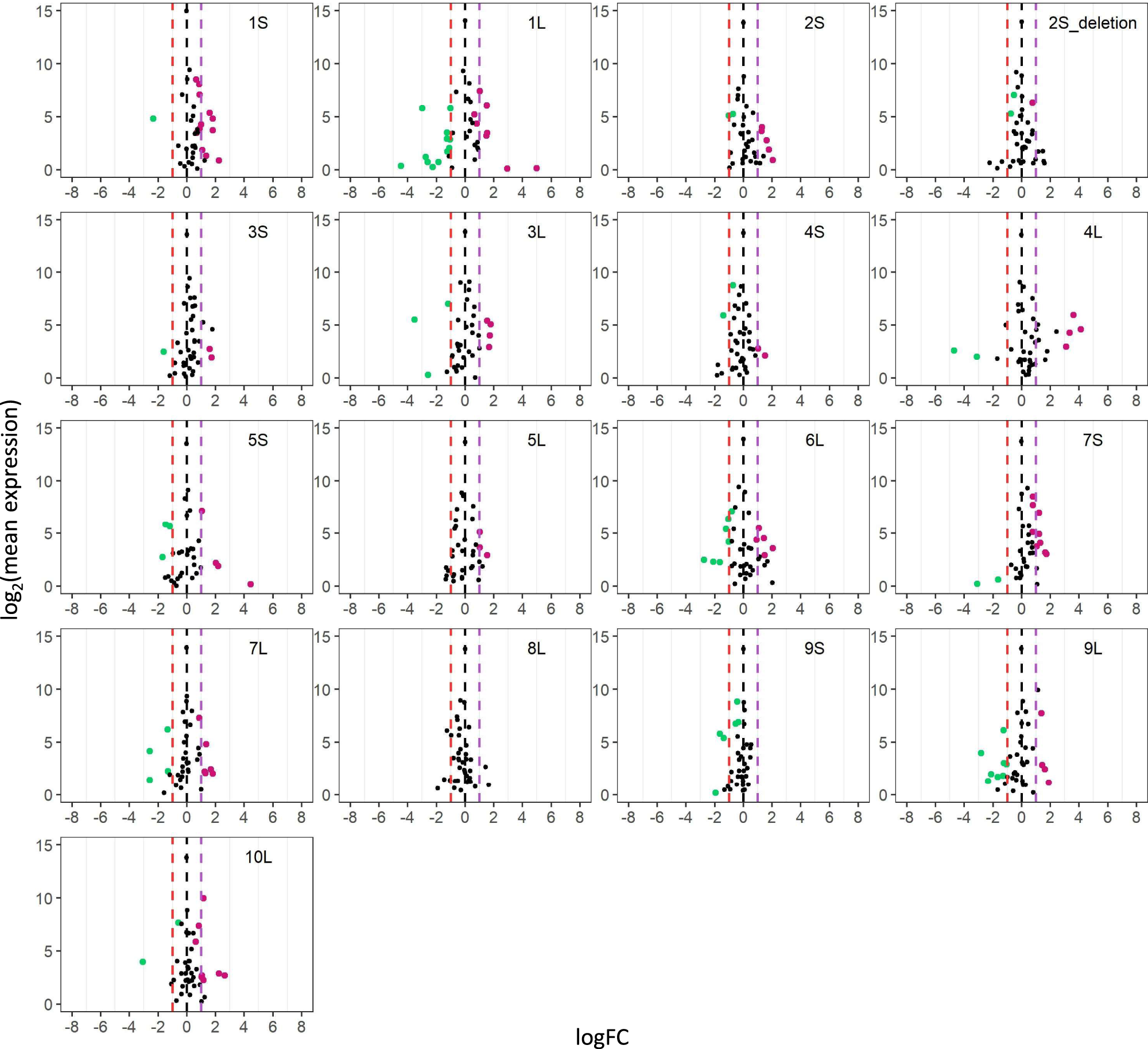
Fig. 5: Scatter plots of trans MIRNA expression in each disomy compared with haploids (h2D/h1D).
From: Dosage-sensitive miRNAs trigger modulation of gene expression during genomic imbalance in maize

Analysis was conducted as described in Fig. 2. An FC of 0.5 represents the inverse ratio of MIRNA expression in trans, whereas 2.0 represents a positive modulation. These FC values are demarcated with labeled vertical lines in red (0.5), black (0), and purple (2.0). Source data are provided in Supplementary Data 4.