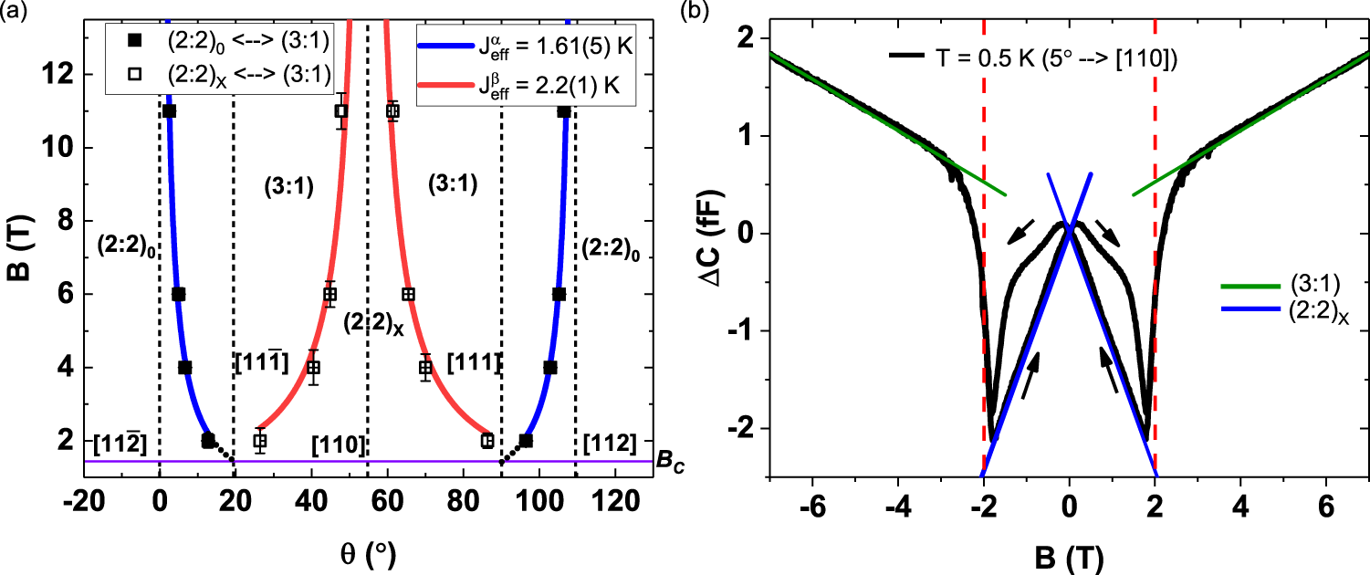
Fig. 4: Monopole MCP extraction from experimental torque data.

a Critical angles extracted from the experimental data in Fig. 3, which define the transitions between the observed spin-ice magnetic phases, as a function of applied field (for the (1\(\bar{1}\)0) plane rotations). The plotted error bars on the data points are a visualization of the residuals of the fits. Fits are shown for transitions between (2:2)0 ⇔ (3:1) (blue curves) as well as (2:2)X ⇔ (3:1) (red curves). The errors on the extracted Jeff values are uncertainties obtained from the fits. The black dotted lines represent the extrapolation of the fit curves to the nearby \(\left\langle 111\right\rangle\) directions. The horizontal purple line represents the location of the critical field required to transition between the Kagome ice and the (3:1) phases. Crystallographic directions are indicated by vertical dashed lines. b Capacitance change as a function of applied field at T = 0.5 K with B applied ≈ 5∘ away from the [111] direction, the black arrows indicate the sweep direction. The solid lines are volume-scaled calculated torque curves for the (3:1) (green) and the (2:2)X phase (blue) (see Supplementary Note 4 for more details). The dashed vertical lines indicate the critical field of the (2:2)x to (3:1) transition associated with a \({J}_{{{{{{\rm{eff}}}}}}}^{\beta }\) = 2.1 K.