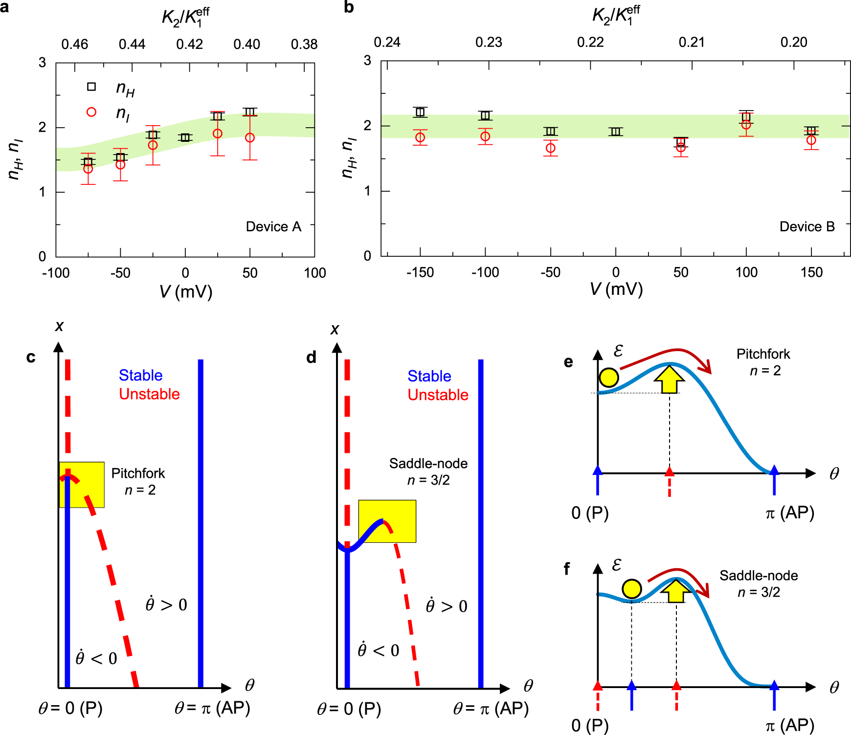
Fig. 6: Experimentally determined switching exponents nH nI.
From: Local bifurcation with spin-transfer torque in superparamagnetic tunnel junctions

a, b Field- and current-induced switching exponents nH and nI as a function of bias voltage V for a device A and b device B. Error bars show standard error propagated from ferromagnetic resonance measurement and critical current measurement. The green band is a guide to the eye. c, d Bifurcation diagrams of the dθ/dt projected upon (θ,x)(= (θ,H) or (θ,I)) for c K2/K1eff < 0.25 and d K2/K1eff > 0.25, where K1eff, K2, θ, t, H, and I are the first- and second-order effective anisotropy fields, polar angle of magnetisation vector, the time, perpendicular magnetic field, and current. e, f Schematics of energy barrier of the effective magnetic potential corresponding to the yellow region in c and d, respectively.