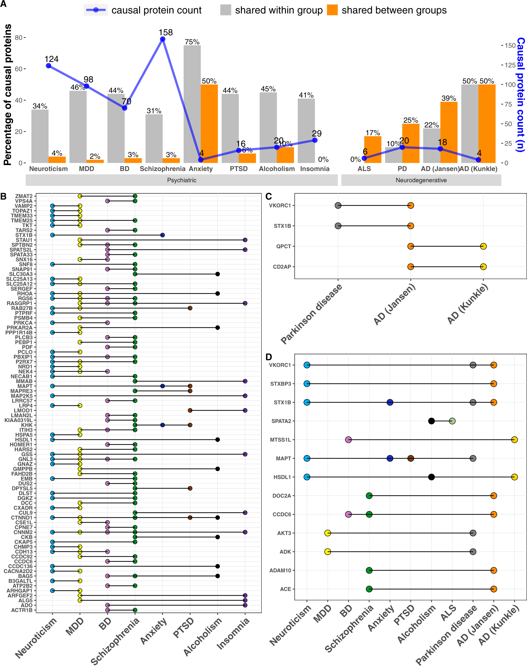
Fig. 3: Causal brain proteins shared within and between groups of psychiatric and neurodegenerative diseases.
From: Shared mechanisms across the major psychiatric and neurodegenerative diseases

A Number of causal proteins and percent shared within group and between groups of psychiatric and neurodegenerative diseases. B Causal proteins shared within the psychiatric group. C Causal proteins shared within the neurodegenerative disease group. D Causal proteins shared between the psychiatric and neurodegenerative groups. Anxiety, PTSD, and insomnia are not listed because they do not have shared causal proteins with the neurodegenerative diseases.