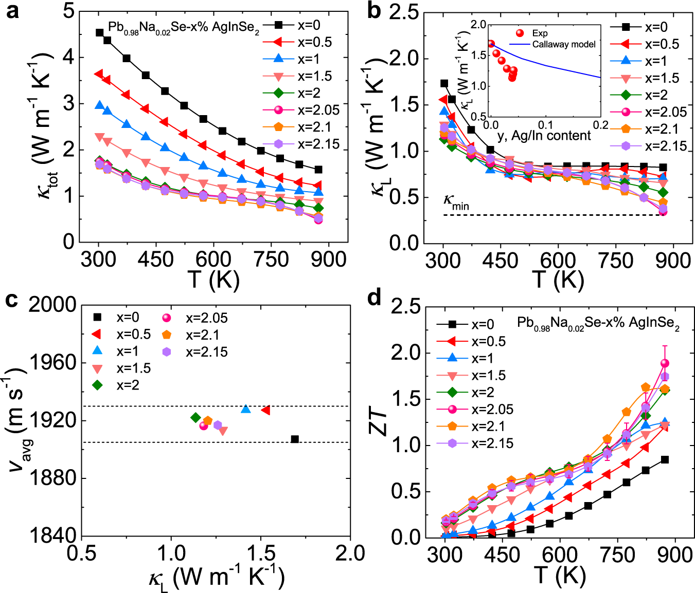
Fig. 6: Thermal transport properties and dimensionless figure-of-merit ZT as a function of temperature for Pb0.98Na0.02Se−x% AgInSe2 (LISS) compounds.

a Total thermal conductivity. b Lattice thermal conductivity. Inset shows the room-temperature lattice thermal conductivities departure from the theoretical line calculated by the Callaway model. c The average sound velocity (vavg) versus lattice thermal conductivity (κL) for LISS compounds at room temperature. d Temperature-dependent ZT for LISS samples.