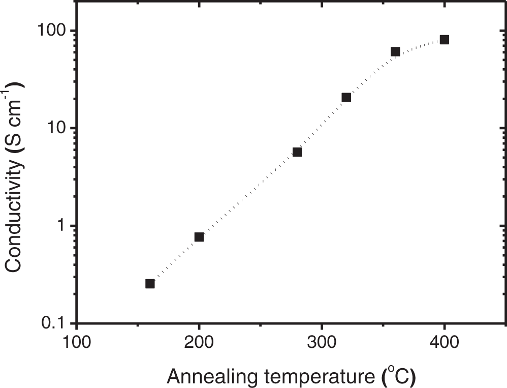
Fig. 3: Impact of UV treatment on conductivity of the ZnO films annealed at different temperatures.
From: A Transparent Electrode Based on Solution-Processed ZnO for Organic Optoelectronic Devices

The conductivity of the UV-treated (365 nm, 24 W, and 600 s) ZnO film annealed with a higher temperature is higher than that annealed with a lower temperature.