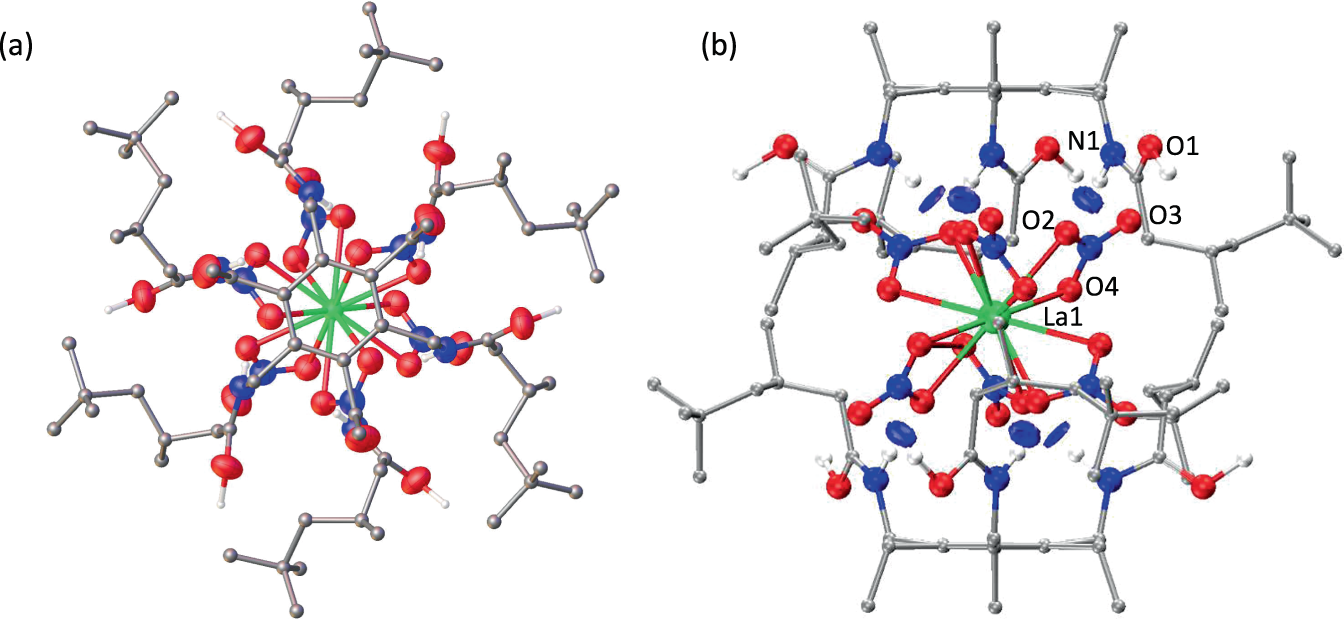
Fig. 2: X-ray crystal structure and DFT NCI analysis of 1-La [{La(NO3)6}⊂(H3L2)]n.
From: Selective separation of light rare-earth elements by supramolecular encapsulation and precipitation
![Fig. 2: X-ray crystal structure and DFT NCI analysis of 1-La [{La(NO3)6}⊂(H3L2)]n.](http://media.springernature.com/full/springer-static/image/art%3A10.1038%2Fs41467-022-32178-3/MediaObjects/41467_2022_32178_Fig2_HTML.png)
a X-ray crystal structure (top-down view). For clarity, all hydrogen atoms except those involved in hydrogen bonding and a disorder component of the amide arm are omitted (where shown, thermal displacement ellipsoids are drawn at 50% probability). N-H and O-H hydrogen atoms were located in the difference Fourier map and (O1)H is 50% occupied on a crystallographic special position. Atom colours: La = green; oxygen = red; nitrogen = blue; carbon = silver; hydrogen = grey. b DFT structure showing non-covalent interactions. NCI attractive hydrogen bond interactions are represented as blue disks. Atom colours: La = green; oxygen = red; nitrogen = blue; carbon = silver; hydrogen = grey.