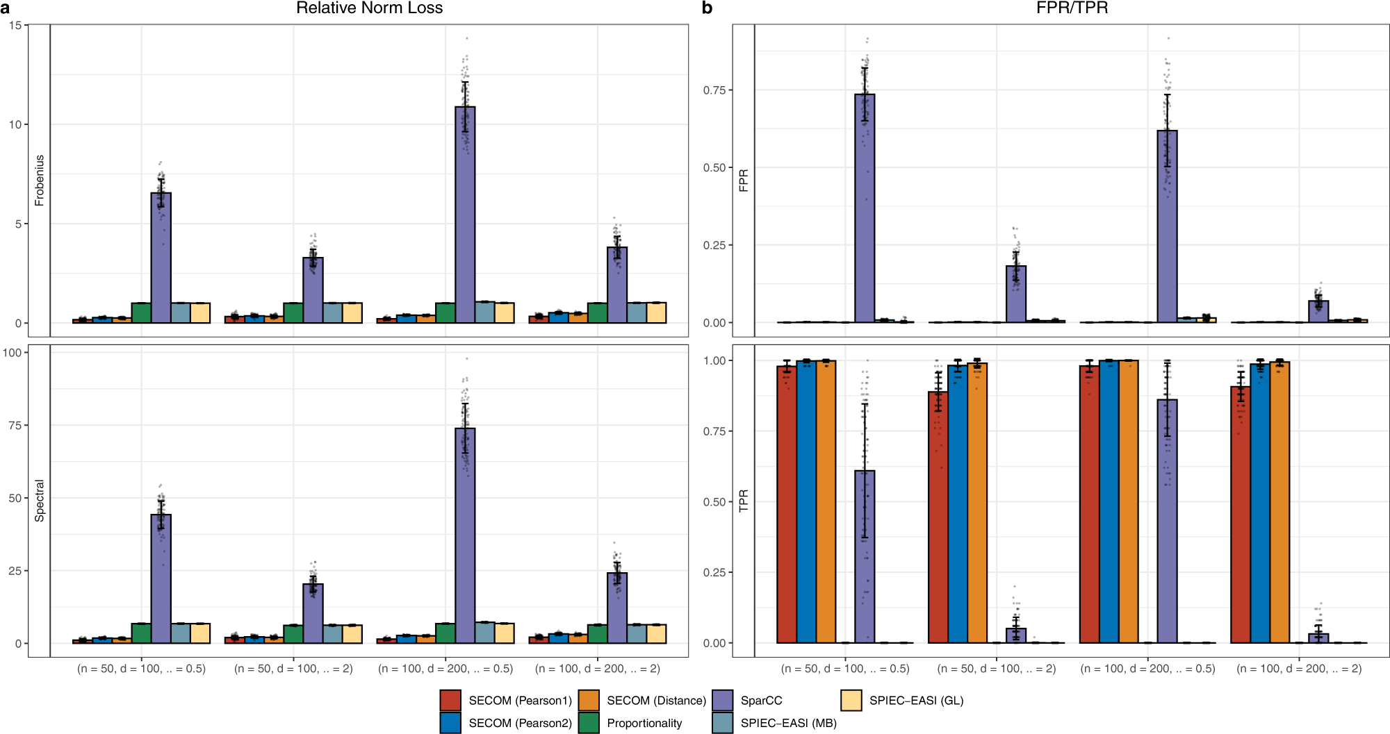
Fig. 4: Comparisons of estimation accuracy and false/true positive rate (FPR/TPR) for identifying linear relationships between two ecosystems.
From: Linear and nonlinear correlation estimators unveil undescribed taxa interactions in microbiome data

The relative norm loss (Frobenius/Spectral) and FPR/TPR of various correlation methods are shown in a, b, respectively. Synthetic data were generated from the negative-binomial (NB) distribution. The X-axis denotes the simulation settings, which are a combination of the sample size n, the number of taxa d, and the dispersion parameter α. Observed abundances from different ecosystems have different sampling fractions and sequencing efficiencies in each simulation run. Results are represented by the average of the corresponding measure (Frobenius/Spectral norm loss, or FPR/TPR) ± standard errors (shown as error bars) across 100 simulation runs for each n/d/α setting. Data points are added to the bar charts using dots with jittering. Color and the name of the corresponding correlation methods are shown at the bottom of the graph. Results demonstrate that SECOM methods are the only methods to successfully quantify microbial correlations between ecosystems.