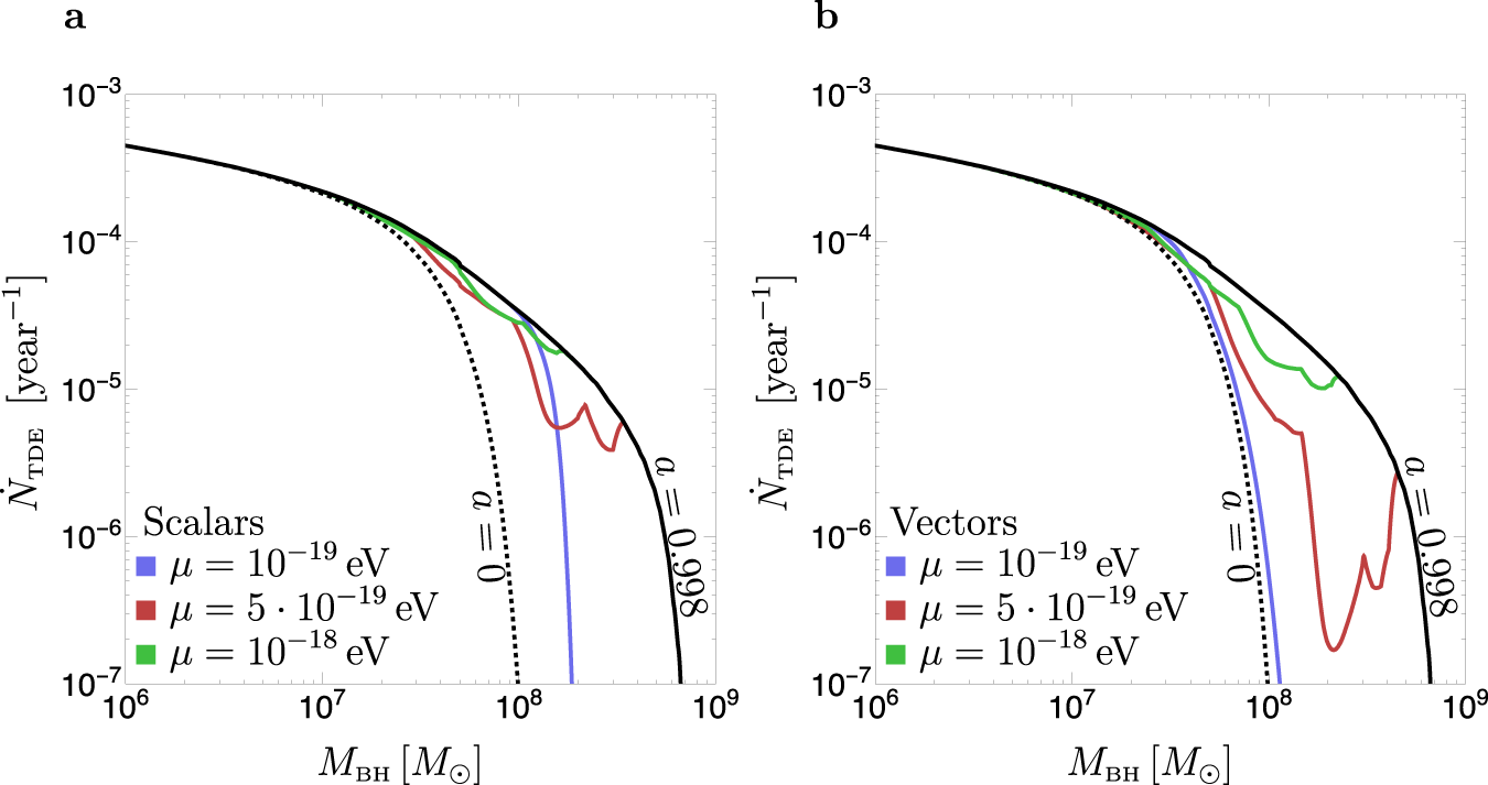
Fig. 3: Per-galaxy TDE rates for different SMBH spin models.

Rates are plotted as a function of the SMBH mass MBH. Solid black: TDE rates for SMBHs with spin a = 0.998, which corresponds to the maximal value allowed by thin-disk spin-up. Dotted black: rates for non-spinning BHs. Colored lines: TDE rates assuming SMBHs have the maximal spins allowed by thin-disk spin-up (a = 0.998) and superradiant spin-down, for different ULB masses. Panels a and b correspond to scalars and vectors. The spin dependence of the TDE rates is taken from ref. 4.