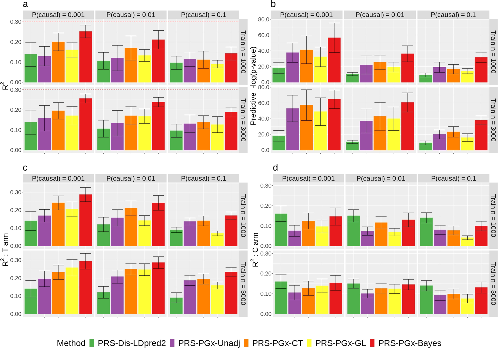
Fig. 2: Predictive performance of five polygenic prediction methods in the simulation studies, where heritability was fixed at 0.3 and ψ/ξ = 1.
From: Pharmacogenomics polygenic risk score for drug response prediction using PRS-PGx methods

The numbers of the causal variants for P(causal) = 0.001, 0.01, and 0.1 were 5, 50, and 500, respectively. The training sample size for PRS-PGx approaches was either 1000 or 3000; for PRS-Dis-LDpred2 approach was 20,000. The tuning parameters were selected via cross-validation in the training data. The performance was assessed in terms of a prediction accuracy R2 of SPGx in two arms, b predictive p-value for the two-sided Spred × T interaction test, c R2 of SPGx under treatment arm, and d R2 of SPGx under control arm. Data are presented as mean values +/− standard deviations (error bars) with 10,000 replications, where results were calculated from the testing sets.