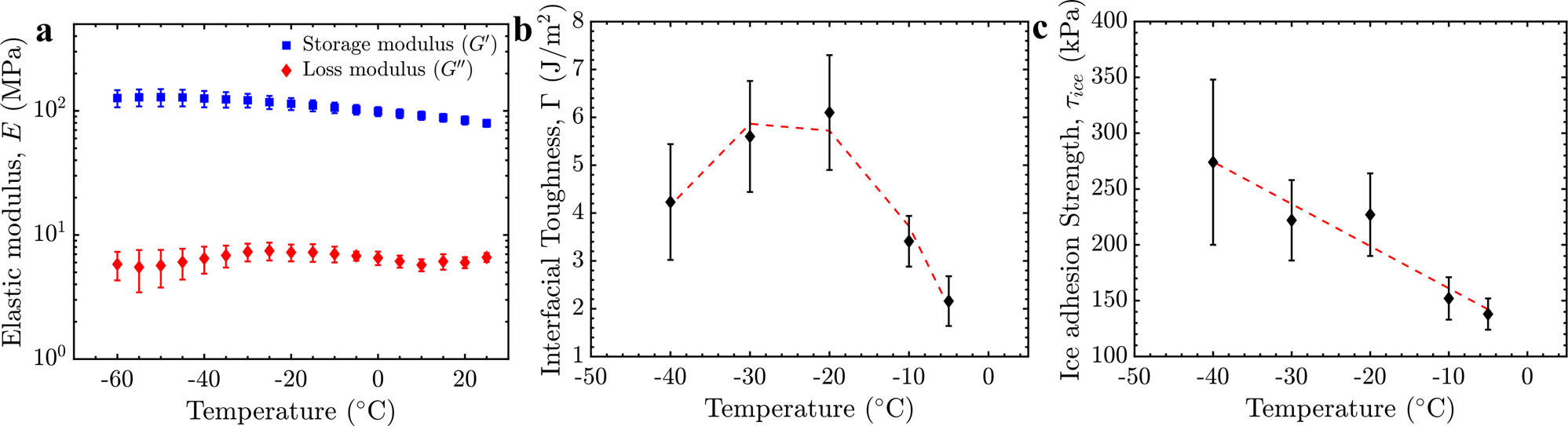
Fig. 1: The effect of temperature on the mechanical properties of the coating and its interface with ice.
From: Smart low interfacial toughness coatings for on-demand de-icing without melting

a Storage (G') and loss (G'') moduli of UHMW-PE between 25 °C and −60 °C. b The toughness of the ice-UHMW-PE interface (Γ) between −40 °C and −5 °C. c The ice adhesion strength (τice) of UHMW-PE between −40 °C and −5 °C. Values for strength and toughness were taken from the linear and plateau regions of ice length versus removal force plots (Methods) as described previously46. Complete datasets are found in Supplementary Fig. S1. Errorbars represent one standard deviation (SD) and N > 4. Source data are provided as a Source Data file67.