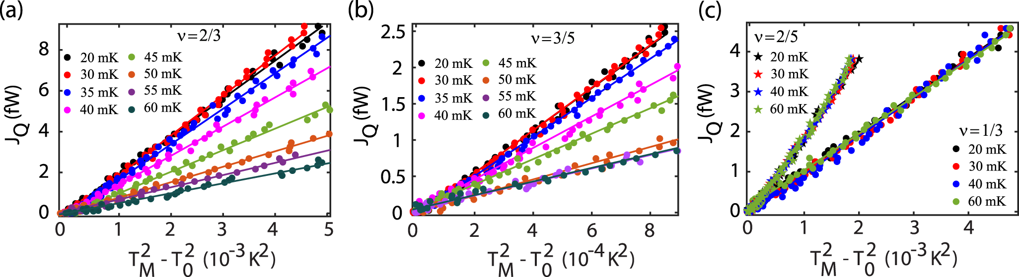
Fig. 3: Temperature dependence of thermal conductances.

a, b JQ (solid circles) is plotted as a function of \({T}_{M}^{2}-{T}_{0}^{2}\) at ν = 2/3 (a) and ν = 3/5 (b) at several values of the bath temperature. Solid circles show the experimental data, while solid lines are linear fits to these experimental data points. Different colors correspond to different bath temperatures as shown in the legend. c JQ (solid circles) is plotted as a function of \({T}_{M}^{2}-{T}_{0}^{2}\) for ν = 1/3 (filled circles) and ν = 2/5 (filled stars) at several values of the bath temperature. Different colors of the symbols correspond to different bath temperatures, (see legend). For all panels, the thermal conductance GQ at each temperature is extracted from the slope of the linear fit.