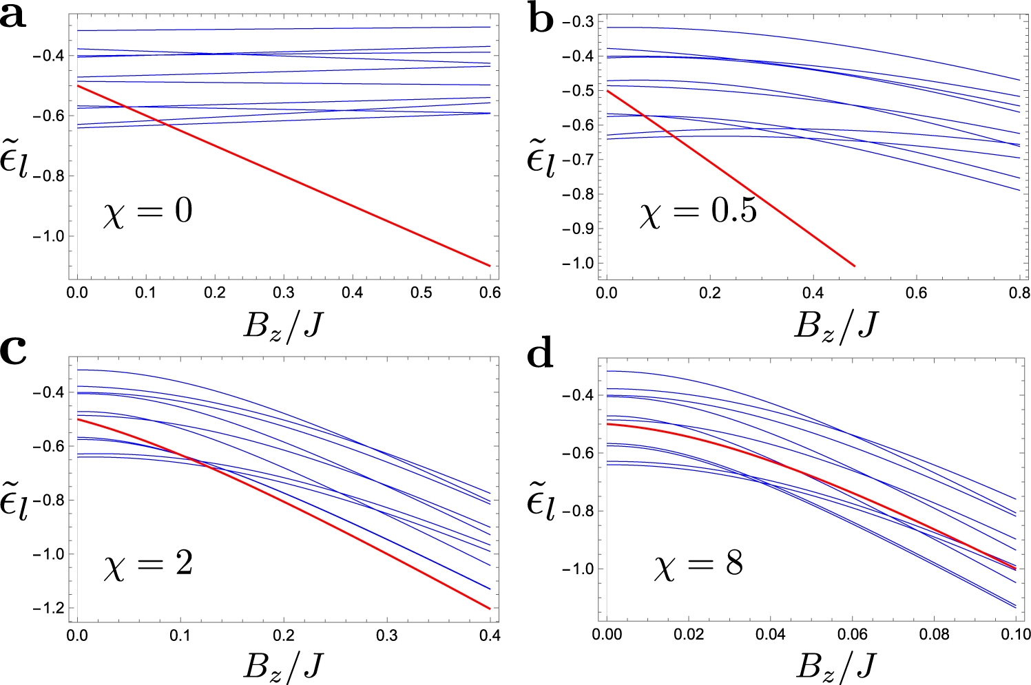
Fig. 3: Spectra of isolated local minima.
From: Many-body localization enables iterative quantum optimization

Spectra of isolated local minima, shown in blue, for a χ = 0, b χ = 0.5, c χ = 2, and d χ = 8, within the same realization. As χ increases, a progressively larger fraction of higher energy states curves down (due to the level repulsion from their local Hamming distance neighborhood) to intersect the reference state.