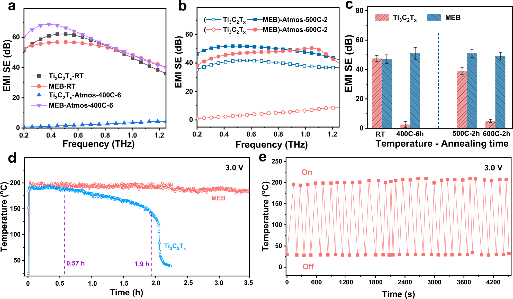
Fig. 5: Potential applications of MEB.
From: High-temperature stability in air of Ti3C2Tx MXene-based composite with extracted bentonite

a–c THz EMI shielding property of MEB. a EMI SE in 0.2–1.3 THz of Ti3C2Tx-RT, MEB-RT, Ti3C2Tx-Atmos-400C-6, MEB-Atmos-400C-6. b EMI SE in 0.2–1.3 THz of Ti3C2Tx-Atmos-500C-2, 600C-2, and MEB-Atmos-500C-2, 600C-2. c The average THz SE of the samples showed in Fig. 5a (left) and Fig. 5b (right). d Long-term Joule heating performance of MEB and Ti3C2Tx films driven by an applied voltage of 3.0 V. e The thermal cycling performance of MEB film, which is realized by switching the applied voltage (3.0 V) on and off repeatedly. Source data are provided as a Source Data file.