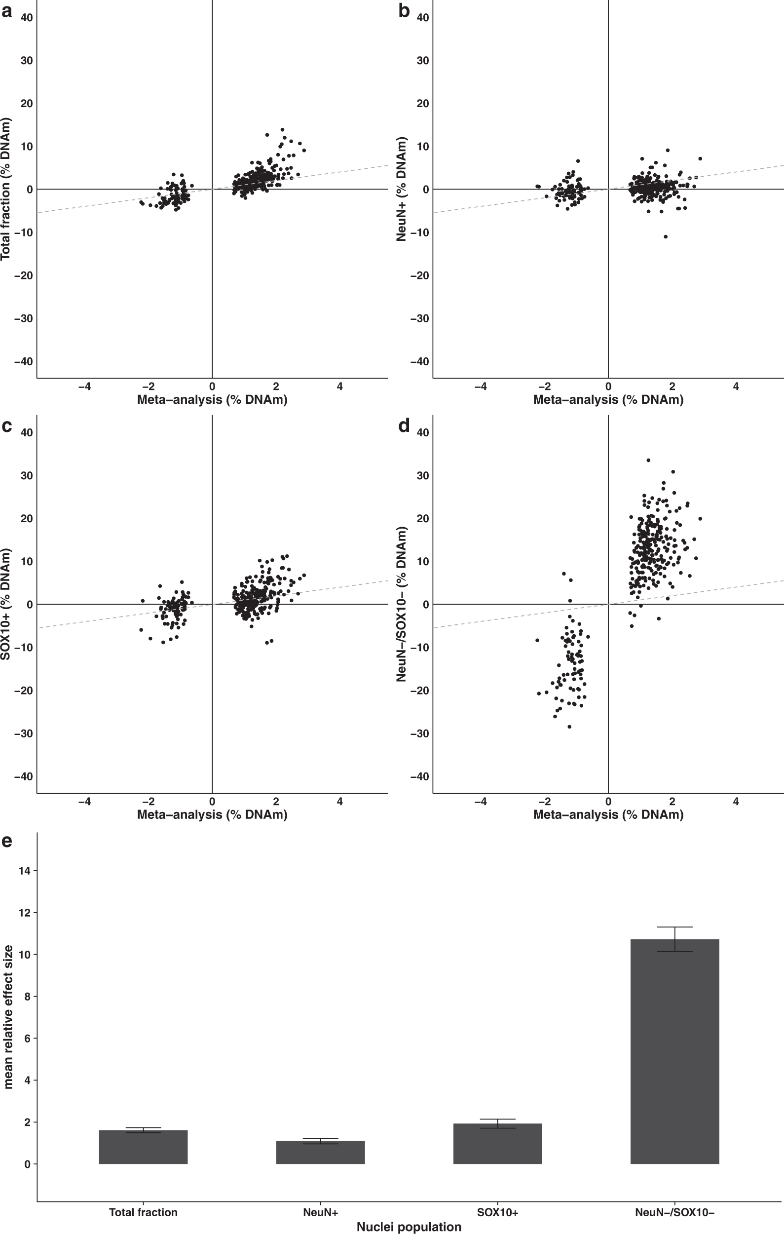
Fig. 4: Differentially methylated positions associated with AD pathology in the cortex largely reflect DNA methylation differences in non-neuronal cell-types.

We compared effect sizes for the 334 overlapping tau-associated DMPs identified in our “bulk” cortex meta-analysis with those at the same sites in an analysis of purified DLPFC nuclei populations from low (Braak NFT stage 0 to II) and high (Braak NFT stage >V) tau-pathology donors. Shown is a comparison of effect sizes between the meta-analysis (bulk, N = 2013 individuals]) and the a total nuclei (bulk) nuclei fraction (N = 26) (direction of effect = 87% concordant, sign-test P = 7.24E–46); b NeuN+ (neuron-enriched) nuclei fraction (N = 27) (direction of effect = 60% concordant, sign-test P = 7.59E–05), c SOX10+ (oligodendrocyte-enriched) nuclei fraction (N = 28) (direction of effect = 67% concordant, sign-test P = 2.15E–10), and d double-negative (microglia- and astrocyte-enriched) nuclei population (N = 21) (direction of effect = 96% concordant, sign-test P = 1.2E–75). The x-axis shows effect sizes from the bulk cortex meta-analysis and the y-axis shows effect sizes for those same DMPs in each purified nuclei population. Gray dashed line represents y = x. e Bar-plots of the mean absolute relative effect sizes in each purified nuclei population compared to the bulk cortex across the 334 tau-associated DMPs, with error bars denoting the 95% confidence intervals.