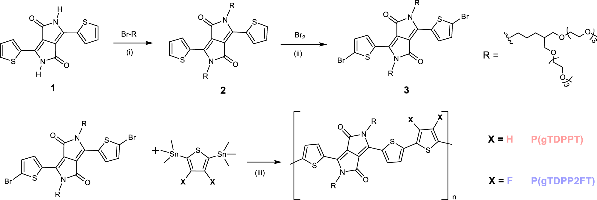
Fig. 1: Synthetic routes to the polymers, P(gTDPPT) and P(gTDPP2FT).

Reagents and conditions: (i) K2CO3, DMF, 110 °C, 12 h; (ii) Br2, DCM, 0 °C, 2 h; (iii) Pd(PPh3)4, CuI, Toluene/NMP (v/v = 1/1), 110 °C, 48 h.

Reagents and conditions: (i) K2CO3, DMF, 110 °C, 12 h; (ii) Br2, DCM, 0 °C, 2 h; (iii) Pd(PPh3)4, CuI, Toluene/NMP (v/v = 1/1), 110 °C, 48 h.