Fig. 4: Functional characterization of different NA mutants.
From: Prevalence and mechanisms of evolutionary contingency in human influenza H3N2 neuraminidase

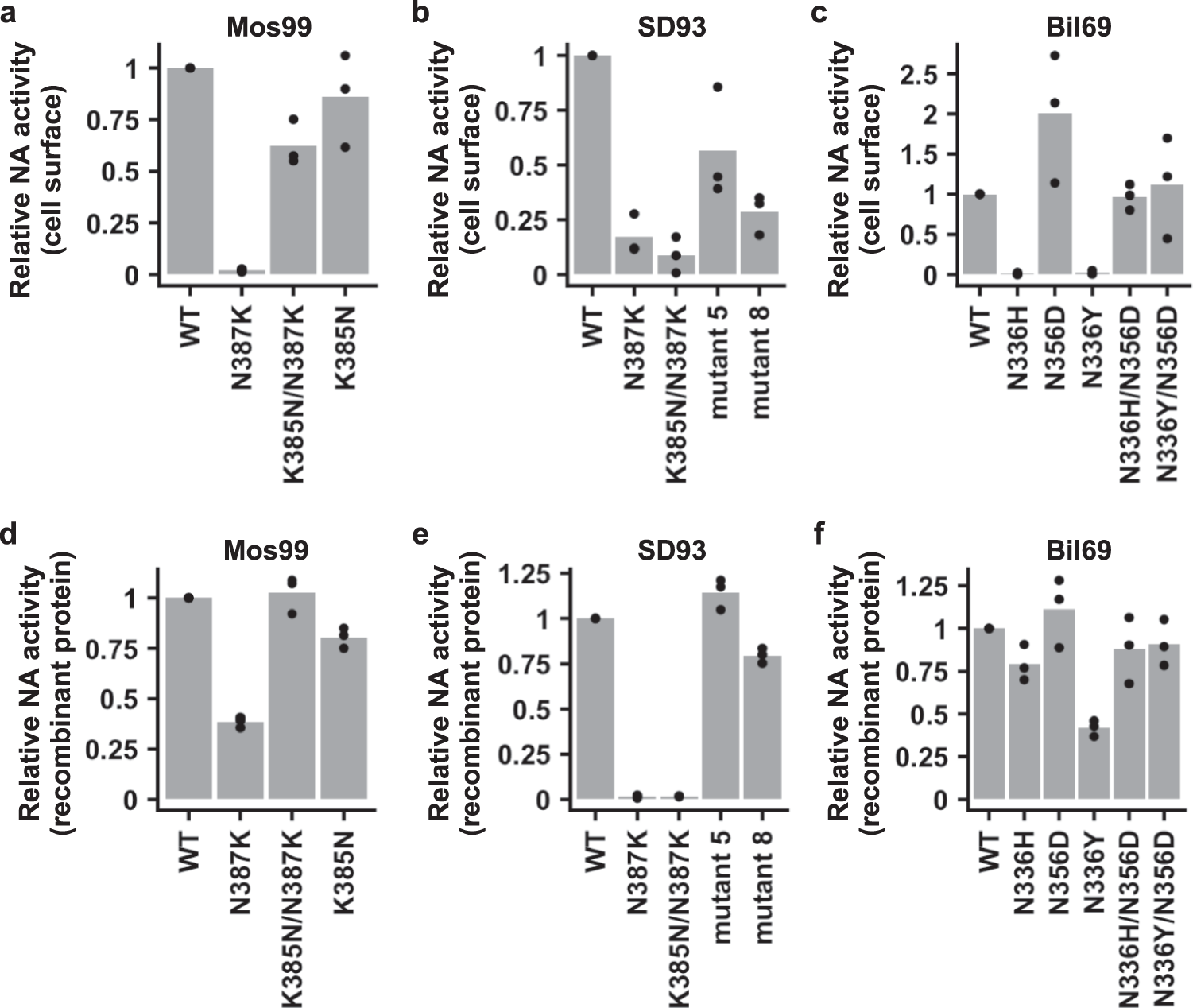
a–c Relative cell surface NA activity of a Mos99 mutants, b SD93 mutants, and c Bil69 mutants. d–f Relative NA activity of recombinant proteins of d Mos99 mutants, e SD93 mutants, and f Bil69 mutants. Each bar represents the mean of three independent biological replicates. Each datapoint represents one biological replicate. Relative NA activity of the mutants was normalized to that of their corresponding WT. Source data are provided as a Source data file.