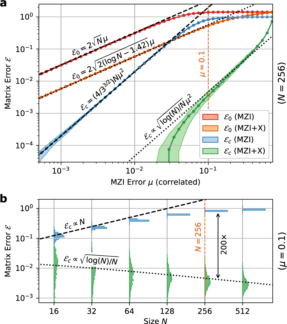
Fig. 6: Advantages of MZI+crossing architecture for correlated component errors.

a Dependence of matrix error \({{{{{{{{\mathcal{E}}}}}}}}}_{0},{{{{{{{{\mathcal{E}}}}}}}}}_{c}\) on splitter error μ (fixed N = 256). b Dependence of \({{{{{{{{\mathcal{E}}}}}}}}}_{c}\) on mesh size N (fixed μ = 0.1).