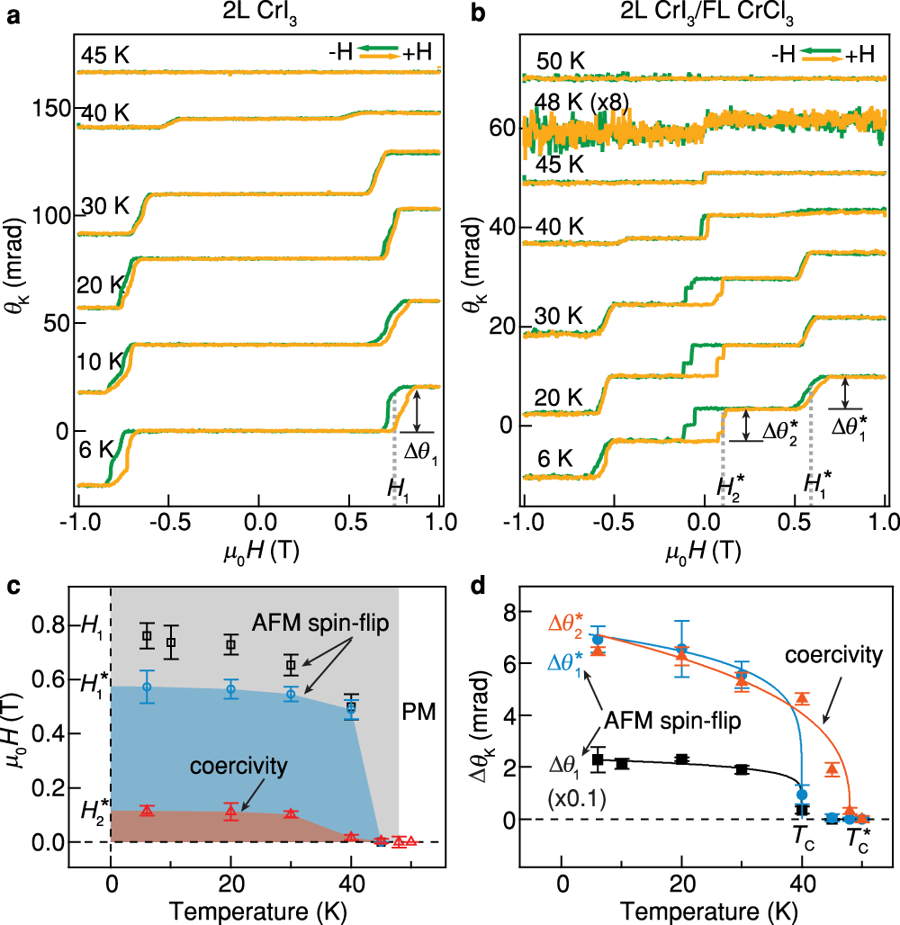
Fig. 2: Temperature dependence of the magnetism of 2L CrI3 and 2L CrI3/FL CrCl3 heterostructure.

MOKE signal in the 2L CrI3 region (a) and the 2L CrI3/FL CrCl3 heterostructure region (b) as a function of perpendicular magnetic field at different temperatures. Critical fields H1, H1*, H2* and magnitudes in the change of MOKE signal ∆θ1, ∆θ1*, ∆θ2* of magnetic transitions are labeled. c Temperature dependence of the critical fields of magnetic transitions. PM paramagnetic. The critical fields are extracted from the peak of derivative dθK/dH and the error bars are the peak widths. d Temperature dependence of the magnitudes in the change of MOKE signal at magnetic transitions. Solid curves are fitted by a power-law equation11. The critical temperatures TC and TC* are indicated. The error bars are the uncertainties in extracting the transition magnitudes.