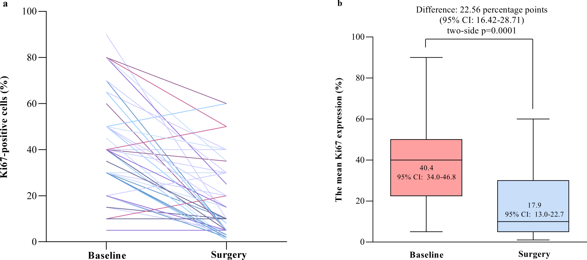
Fig. 3: Ki-67 expression at baseline and surgery.

a Individual data (n = 48). b Mean percentages of Ki-67 expressing tumor cells of each group (n = 48). Statistical analysis was performed by paired two-sided t-test. The Ki-67 expression in 31 out of 79 patients was not assessable due to the lack of detectable tumor cells in the surgical samples (n = 30) or not undergoing surgery (n = 1). For box plots, the center lines are group medians; the upper and lower limits of the box are the 1st and 3rd quartile, and the whiskers show minimum and maximum values. CI confidence interval. Source data are provided as a Source Data file.