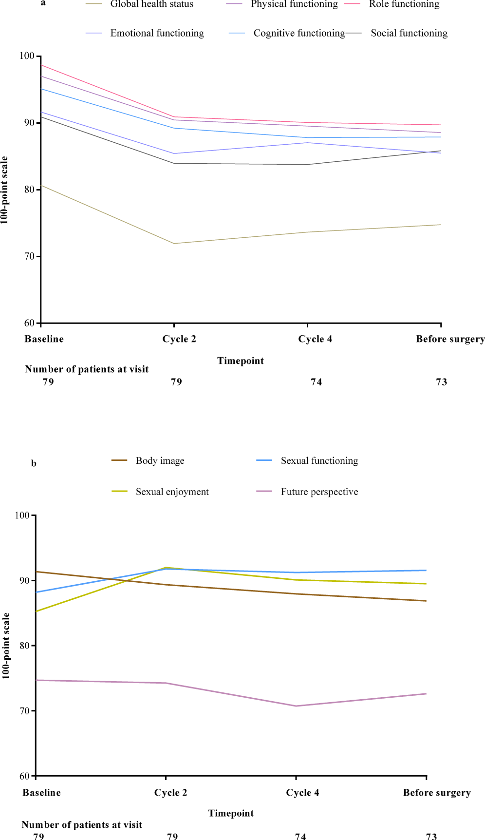
Fig. 4: Results of health-related quality of life questionnaires in QLQ-C30 over time.

a Mean scores of global health status and functioning subscales in QLQ-C30. b Mean scores of functioning subscales in QLQ-BR23. QLQ-C30 quality of life questionnaire-core module, QLQ-BR23 quality of life questionnaire-breast cancer module. Source data are provided as a Source Data file.