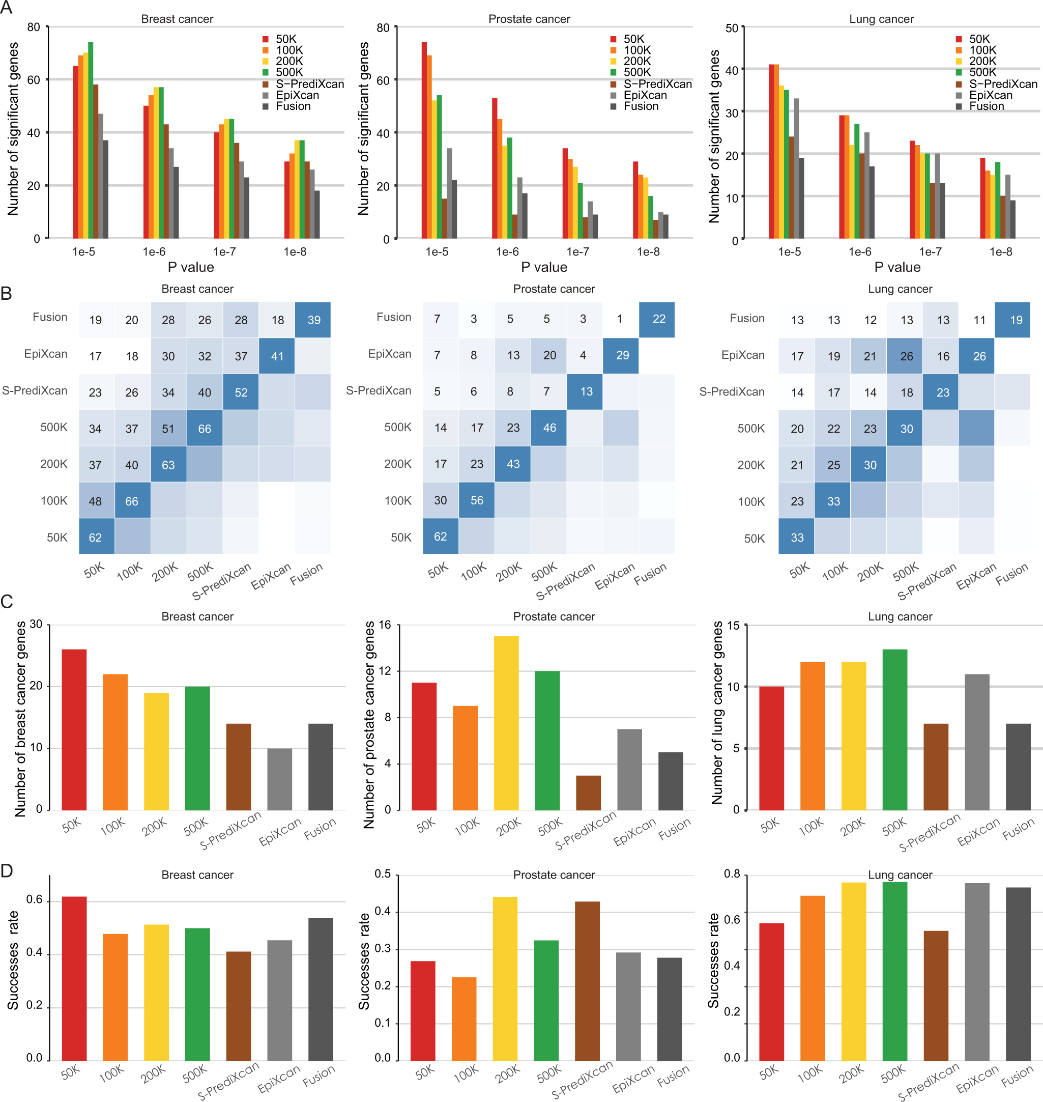
Fig. 2: Comparison of gene-trait associations between sTF-TWAS conducted in sets of variants with other TWAS approaches (S-PrediXcan, EpiXcan and Fusion) for breast, prostate and lung cancer.

A Bar chart showing the number of genes identified from sTF-TWAS conducted for each set of variants and other TWAS approaches under various P-value cutoffs (i.e., P < 1e-05, 1e-06, 1e-07, and 1e-08). The P-values are derived from the Z score tests in these TWAS analyses (two-sided). B Heatmap showing the number of genes identified from sTF-TWAS conducted for each set of variants and other TWAS approaches at a Bonferroni-corrected P < 0.05. The number of overlapping genes identified from sTF-TWAS between two sets is presented in each box; the color from white to dark blue denotes increased overlapping genes. C Bar chart showing a comparison between the total number of target cancer related genes among sTF-TWAS identified genes from each set and other TWAS approaches. D Bar chart showing a comparison of the proportion (success rate) of target cancer related gene among TWAS-identified genes from each set of interest and other TWAS approaches, relative to the total number of genes identified from the set.