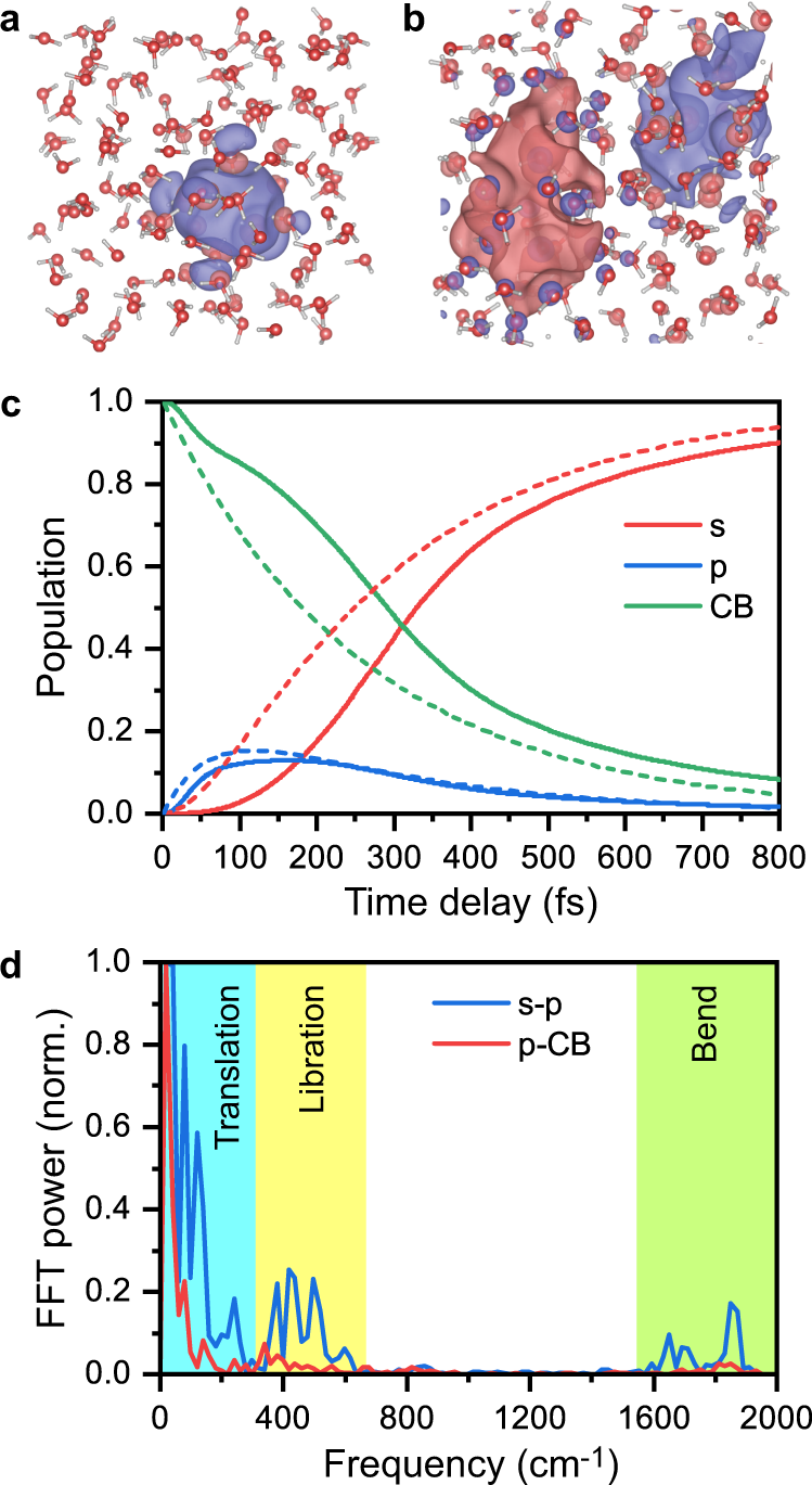
Fig. 3: Nonadiabatic molecular dynamics (NAMD) simulations of ionized liquid water.

Wave functions of a, the s-like ground-state hydrated electron, es, and b, the p-like intermediate, ep. c NAMD results for the electronic relaxation from the conduction band, eCB, to ep and then es are shown as solid lines. Results obtained from sequential kinetics, calculated based on the experimentally determined rate constants, are shown as dashed lines. d Fourier transforms of the energy gaps between es and ep, and ep and eCB, characterizing the vibrational motions responsible for the electronic relaxation.