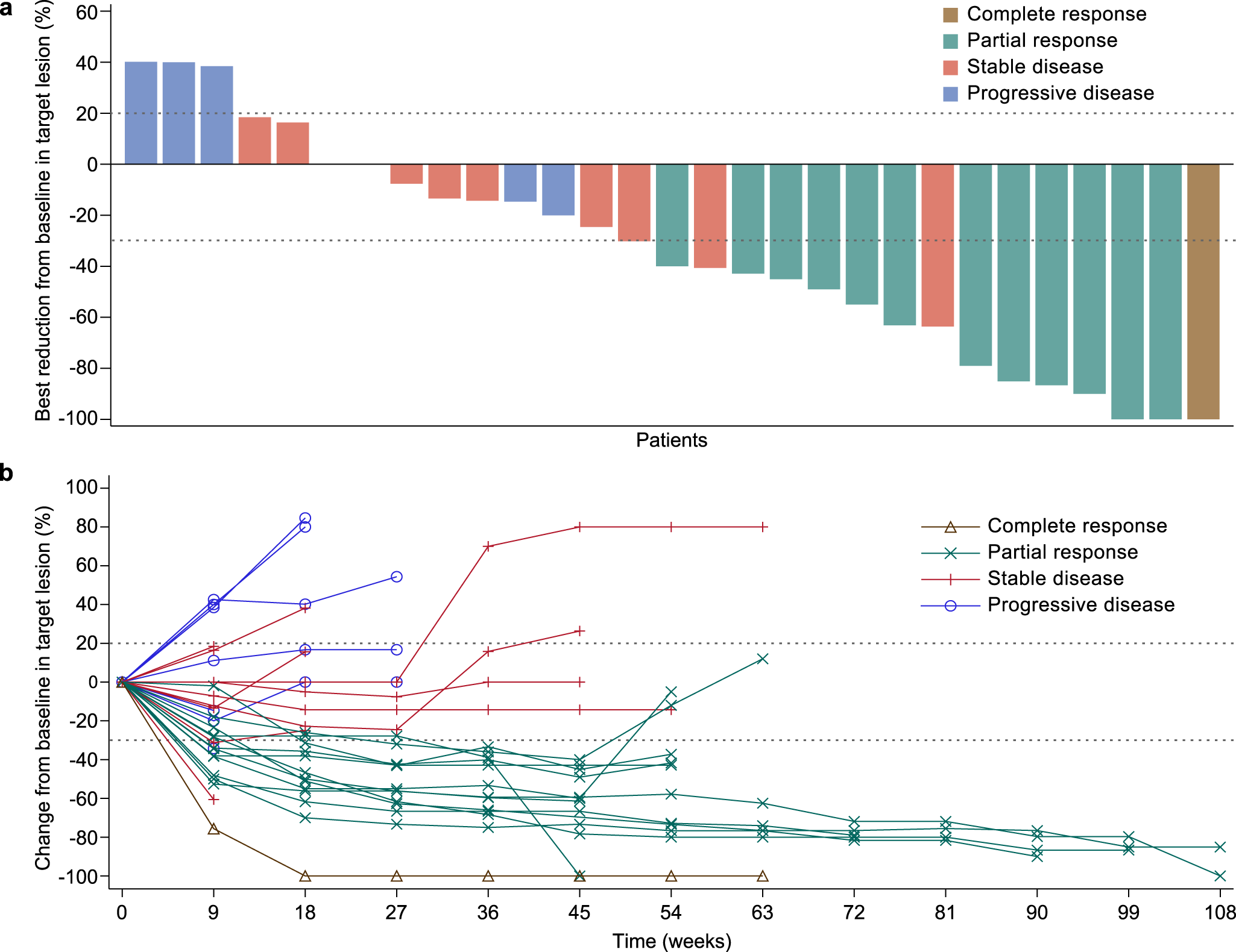
Fig. 1: Tumor responses after camrelizumab plus famitinib treatment.

a Waterfall plot demonstrating the best percentage change from baseline in target tumor lesion size. Each bar represents a patient. The dashes indicate a 20% increase or 30% reduction. b Spider plot presenting the percentage change from baseline in target tumor lesion size over time. The waterfall and spider diagrams showed the tumor responses in 29 patients who had at least one post-baseline scan of target lesion. In one patient, the target lesion had not been measured at post-baseline but a new lesion appeared during treatment. This patient was determined to have progressive disease and was not included in the waterfall and spider diagrams.