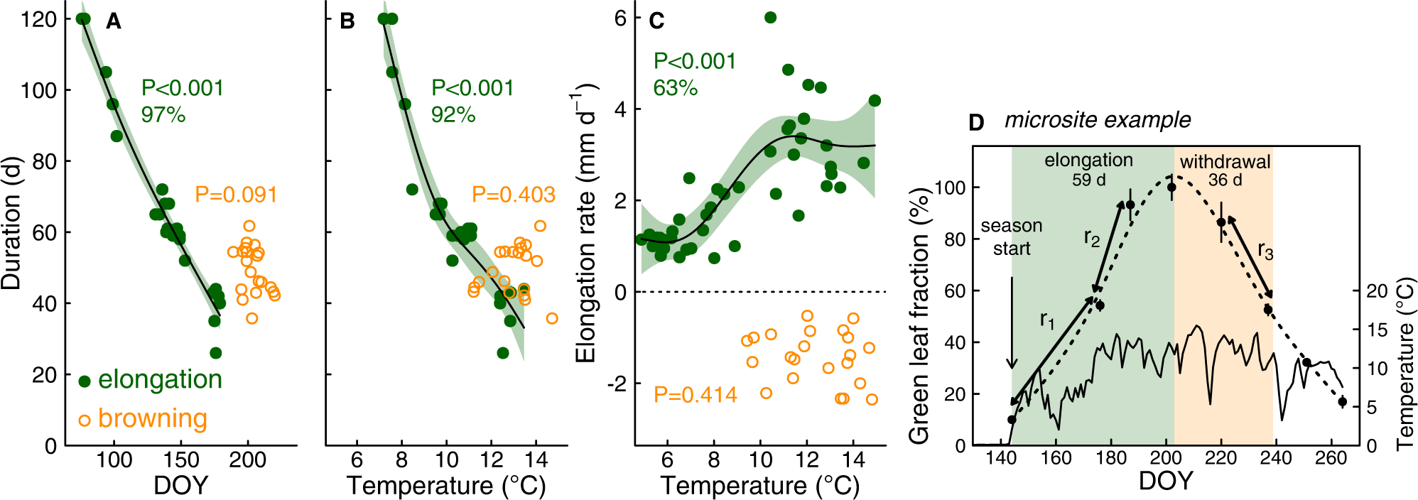
Fig. 5: Duration and rates of growth and senescence in microsites (2020).
From: Growth of alpine grassland will start and stop earlier under climate warming

Leaf elongation (green) and browning (orange) duration of Carex curvula related to A the onset of the respective period (n = 24 microsites for elongation and 20 for browning) and B to mean soil/meristem temperature (n = 23 for elongation and 20 for browning). C Daily rates of elongation and browning (negative) in relation to soil temperature (n = 43 measurement intervals for elongation and 22 for browning). D Exemplary data from one microsite illustrate how values in A–C were derived: elongation and browning period to 50% for A and B; rates (r1–3) for C, calculated for individual measurement intervals (mean ± SE, n = 5 leaves). Temperature was averaged over the corresponding periods. Smoothed curves (lines: mean, error band: 95% confidence interval) and variance explained (%) of smoothers are indicated only when smoothing terms were significant (F tests, P < 0.05, detailed statistics in Supplementary Table 3). DOY = day of year.