Fig. 5: Breakdown of meson-number conservation.
From: Prethermalization in one-dimensional quantum many-body systems with confinement

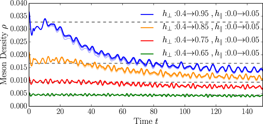
We show results for a quantum quench of the ground state with initial field configuration (h⊥, h∥) = (0.4, 0.0) to values of the transverse field h⊥ ∈ {0.65, 0.75, 0.85, 0.95} and additional confining longitudinal field h∥ = 0.05. For all quenches we show results obtained using iTEBD time evolution for a unit cell of L = 40 sites with bond dimensions of χ ∈ {256, 384, 512} (light to dark solid lines). We find that quenches close to the critical value of the transverse field only for a short time show the expected value of the meson number (gray dashed lines) before showing a decay in the number of mesons. The timescale, on which such a decay takes place increases and finally exceeds the numerically accessible times for quenches deep into the ferromagnetic phase (h⊥ ≪ 1).