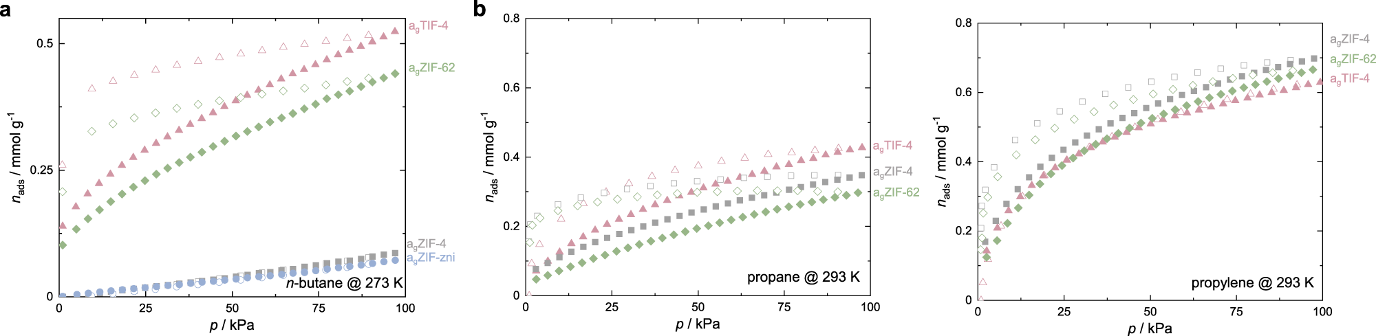
Fig. 4: Hydrocarbon sorption studies.
From: Quantification of gas-accessible microporosity in metal-organic framework glasses

a n-butane sorption isotherms of the ZIF glasses collected at 273 K. b Propane and propylene sorption isotherms collected at 293 K. In all panels, adsorption and desorption branches are shown as closed and open symbols, respectively.