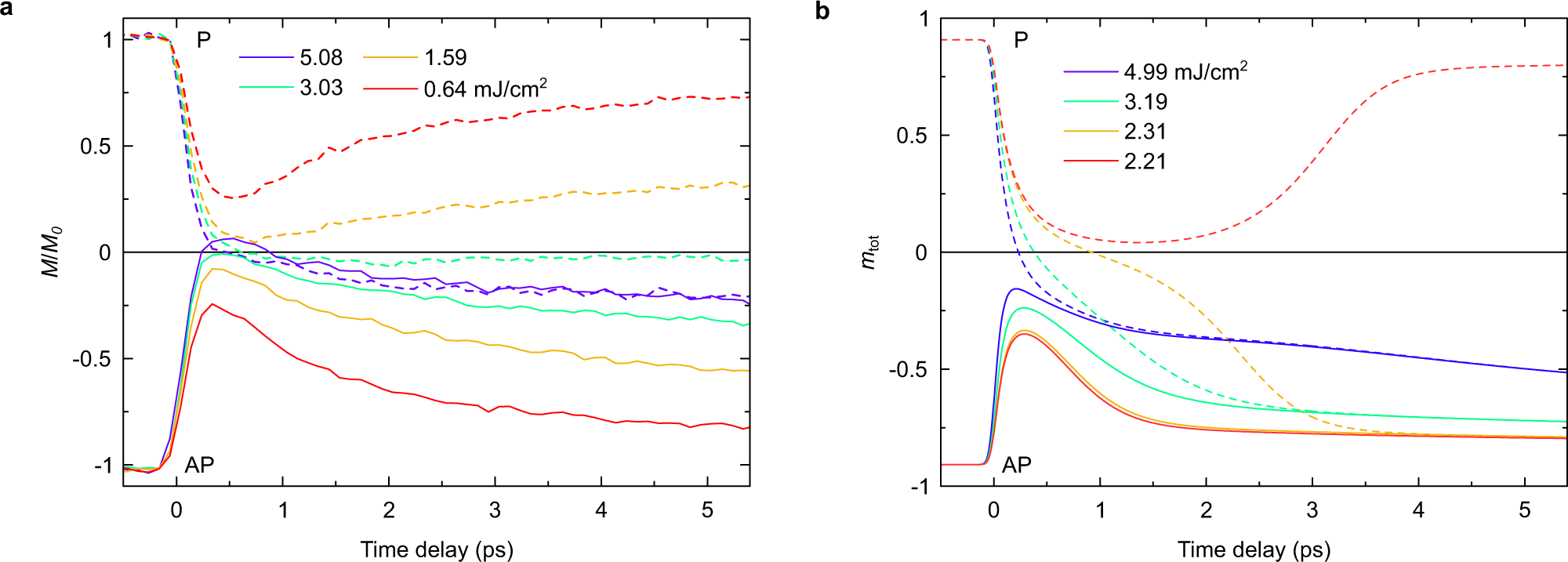
Fig. 3: Experimental and simulated magnetization dynamics of the [Co/Pt] multilayer.
From: Accelerating ultrafast magnetization reversal by non-local spin transfer

a Experimental normalized magnetization ultrafast dynamics when the sample is initially prepared in a P (dashed lines) or AP (solid lines) configuration for four different fluences as indicated. b Results obtained from the simulations where \({m}_{{{\mbox{tot}}}}\) includes the normalized magnetization coming from both localized and itinerant electrons in the s-d model.