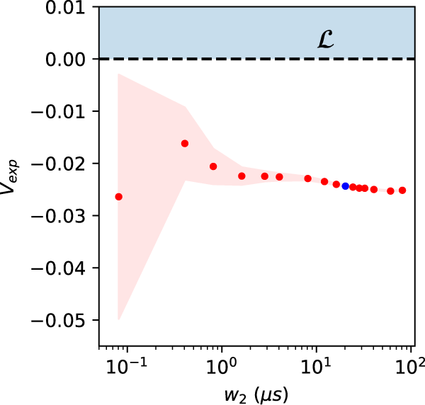
Fig. 6: Inflation inequality violation versus 6-fold coincidence window.
From: Experimental nonclassicality in a causal network without assuming freedom of choice

Values of violation of the causal compatibility inequality, which has been optimized over the experimental data corresponding to the blue point (a window w2 ~ 20 μs), as a function of the 6-fold coincidence window w2. The red shadowed area represents the statistical error on the computed value of Vexp, estimated employing Monte Carlo methods. The blue shadowed region \({{{{{{{\mathcal{L}}}}}}}}\) indicates the values obtainable by a classical causal model.