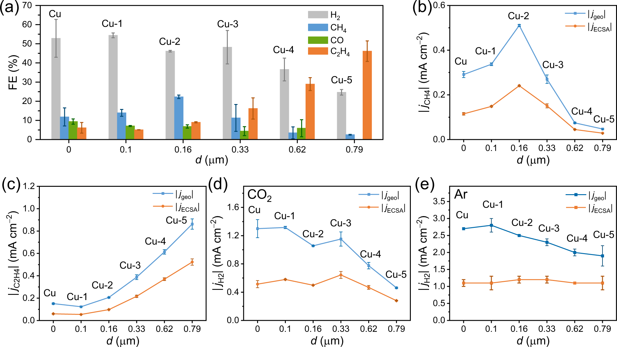
Fig. 3: Performance of pristine Cu and Cu-n (n = 1−5) electrodes in CO2RR.

a FEs of H2 (gray), CH4 (blue), CO (green) and C2H4 (orange) as function of d along with partial |j| of b CH4, c C2H4, d H2 and e H2 (under Ar atmosphere with no CO2RR) normalized with respect to the geometric surface area (=1.22 cm2, blue) and ECSA (orange), respectively, as function of d. All bulk electrolysis experiments were conducted at an applied potential of −0.96 V versus RHE for 60 min in CO2-saturated or Ar-saturated 0.1 M KHCO3, unless noted otherwise. Error bars correspond to the standard deviation of at least two independent measurements. Source data are provided as a Source Data file.