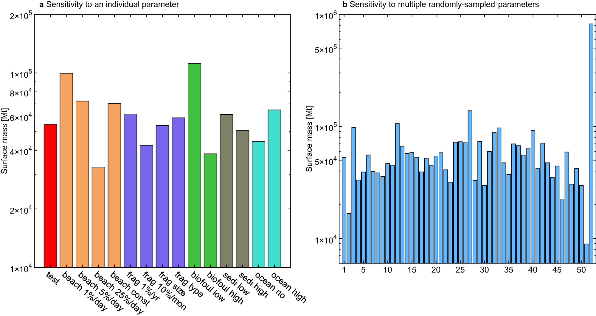
Fig. 3: Sensitivity of the modeled total plastic mass in the surface ocean (Mt, metric tons) to different parameters.
From: Plastic waste discharge to the global ocean constrained by seawater observations

a Sensitivity to an individual parameter. b Sensitivity to multiple randomly-sampled parameters. Note the y-axis is on a logarithmic scale. The model scenarios include varying beaching, fragmentation, biofouling, and sedimentation rates. Additional members consider uniform beaching rates for all beaches, fragmentation rates depending on particle size and chemical composition, and low and high marine sources (Table 1).