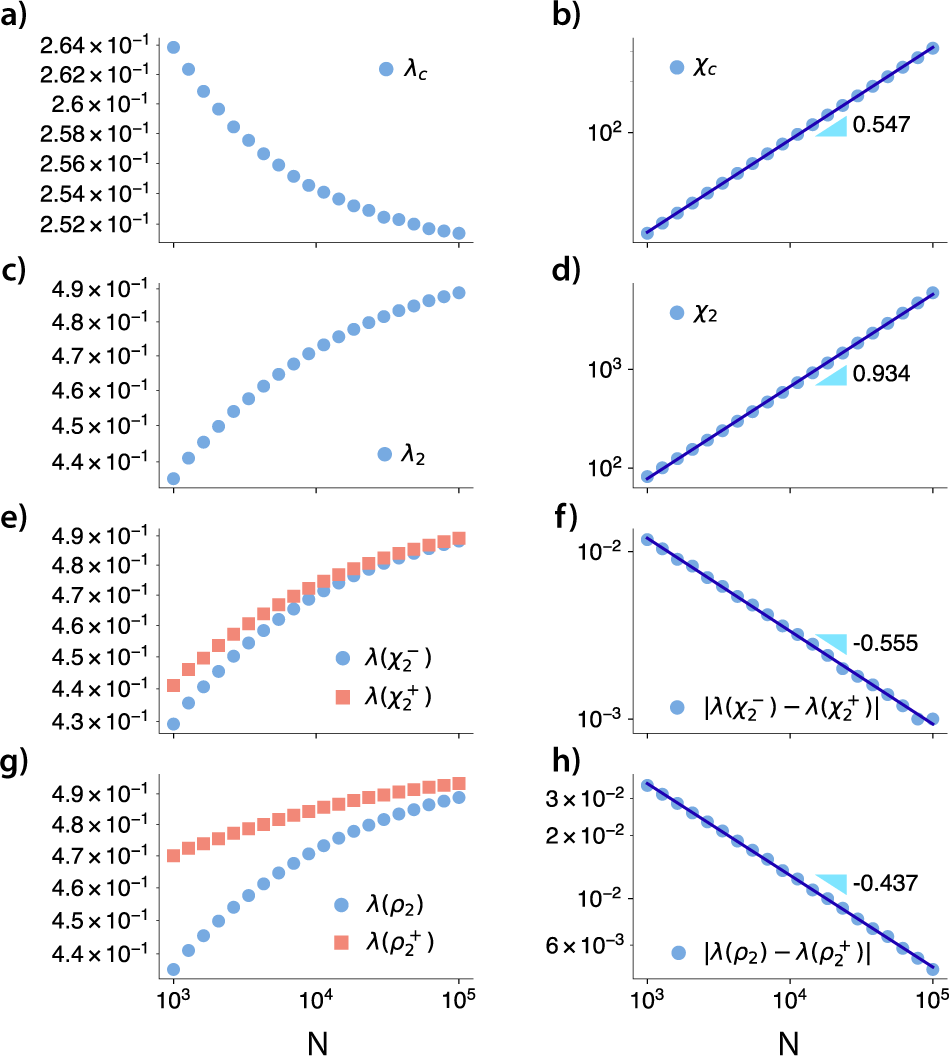
Fig. 10: Finite size analysis for the hyperblob.
From: Multistability, intermittency, and hybrid transitions in social contagion models on hypergraphs

For a “low” λ* (in this figure λ* = 10), we have a second-order phase transition followed by a hybrid transition. We show the scaling of important quantities as a function of the system size. In this panel, from top to bottom, in a, b, we show the scaling of the lower solution, where λc converges to a finite non-zero value while its respective susceptibility diverges, characterizing a second-order phase transition. In c, d, we observe that the susceptibility curve for the whole system also diverges. Besides, we can clearly see from e to h that \(|\lambda ({\chi }_{2}^{-})-\lambda ({\chi }_{2}^{+})|\), in e and f, and \(|\lambda ({\rho }_{2})-\lambda ({\rho }_{2}^{+})|\), in g and h, tend to zero as we increase the system size. The sub-figures from c to h are enough to characterize a hybrid transition. Note that in the thermodynamic limit, the transition is discontinuous as \(\mathop{\lim }\limits_{N\to \infty }|\lambda ({\rho }_{2})-\lambda ({\rho }_{2}^{+}) |=0\).