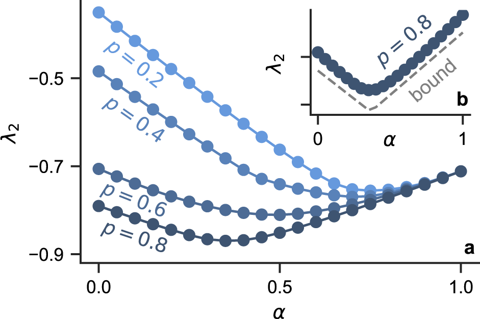
Fig. 2: Pairwise and non-pairwise interactions synergize to optimize synchronization.

a U-shaped curves are observed for λ2(α) corresponding to random hypergraphs over a wide range of pvalues. b Degree-based bound \(|{\lambda }_{2}|\le \frac{n}{n-1}{k}_{\min }\) predicts the non-monotonic dependence on α. Each data point represents a 100-node random hypergraph and the three-body connection probability is set to p△ = 0.05.