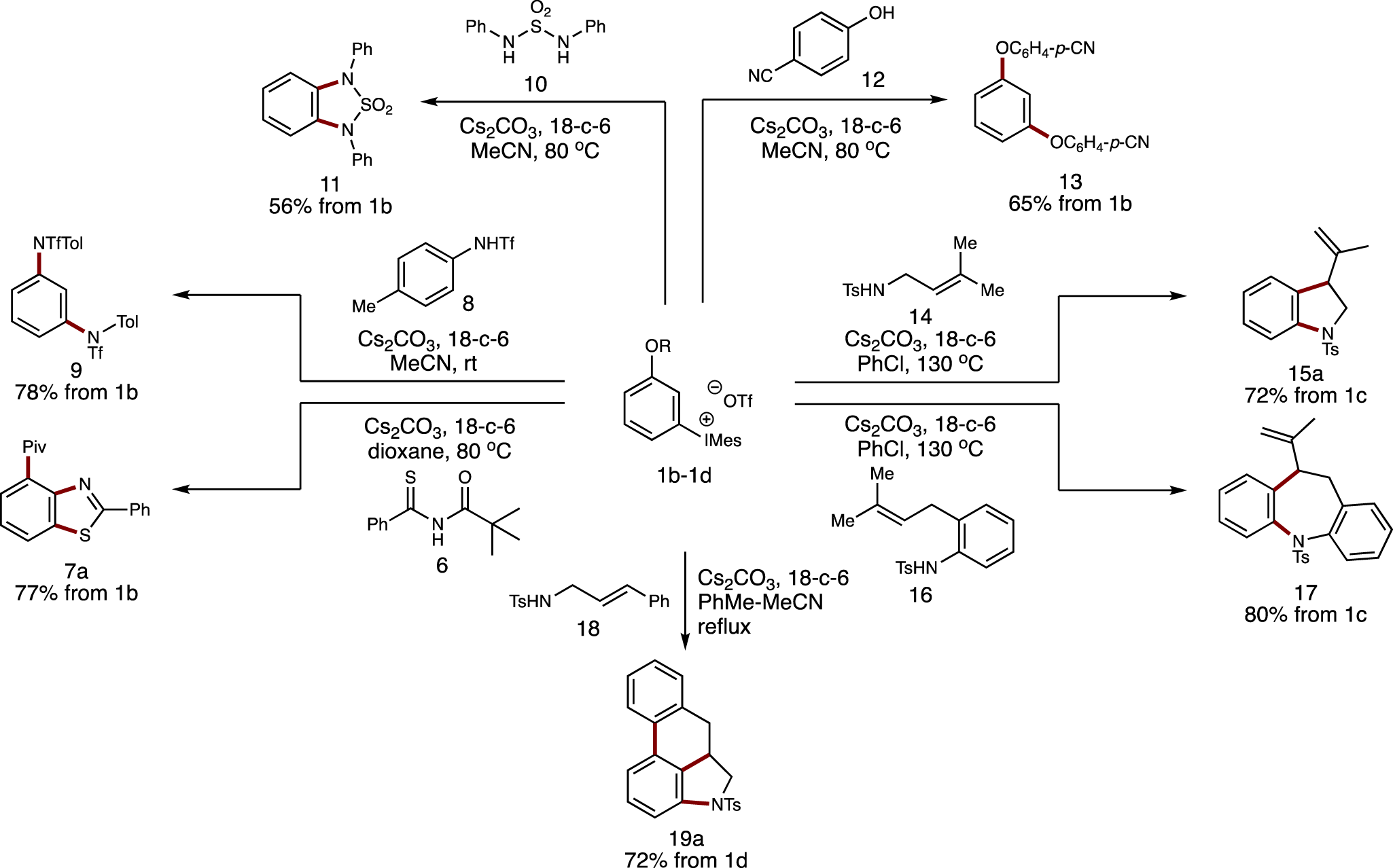
Fig. 4: Study on domino aryne reactions with 1b-1d. | Nature Communications