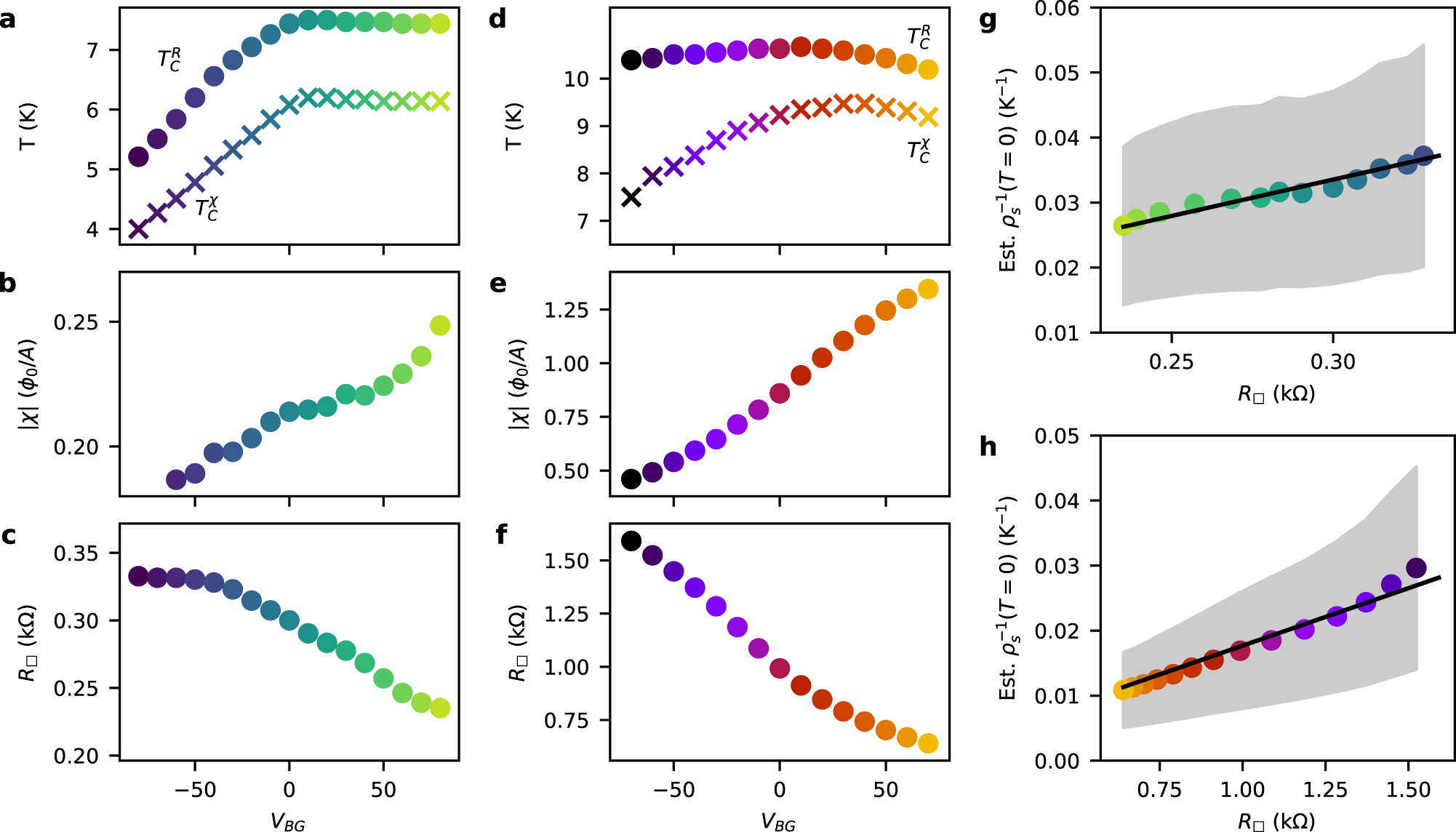
Fig. 3: Correlation between device resistivity and superfluid stiffness.
From: Superfluid response of an atomically thin gate-tuned van der Waals superconductor

a–c Summary of properties of the superconducting state in device A versus VBG. a Two measures of the critical temperature: \({T}_{c}^{R}\) at which the resistance has decreased by 10% from the normal value and \({T}_{c}^{\chi }\) at which the superfluid response starts to exceed our noise floor. b χ extracted at \(T=0.9{T}_{c}^{\chi }\). c R□ at 8 K. d–f Same as a–c but for device B. e χ is shown at \(T=0.55{T}_{c}^{\chi }\), for f R□ is shown at 12 K. g Inverse of the superfluid stiffness at zero temperature versus R□. See the main text for the method of estimation of ρs(T = 0). The colors of the circles match the colors in a–c. The uncertainty in the inverse superfluid stiffness from uncertainty in the height of the SQUID is indicated by the gray band. Fit to Eq. (1) shown in black. h Same as g but for device B.