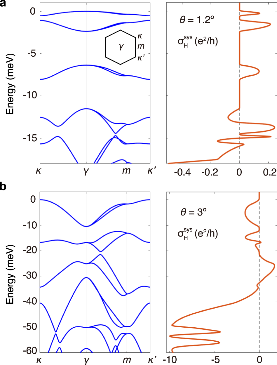
Fig. 4: TR-even charge Hall effect in tMoTe2 with different θ.
From: Time-reversal even charge hall effect from twisted interface coupling

a Results for θ = 1. 2∘. b Results for θ = 3∘. In both cases, the left and right panels present the valence band structures and Hall conductivity in the system layer, respectively.