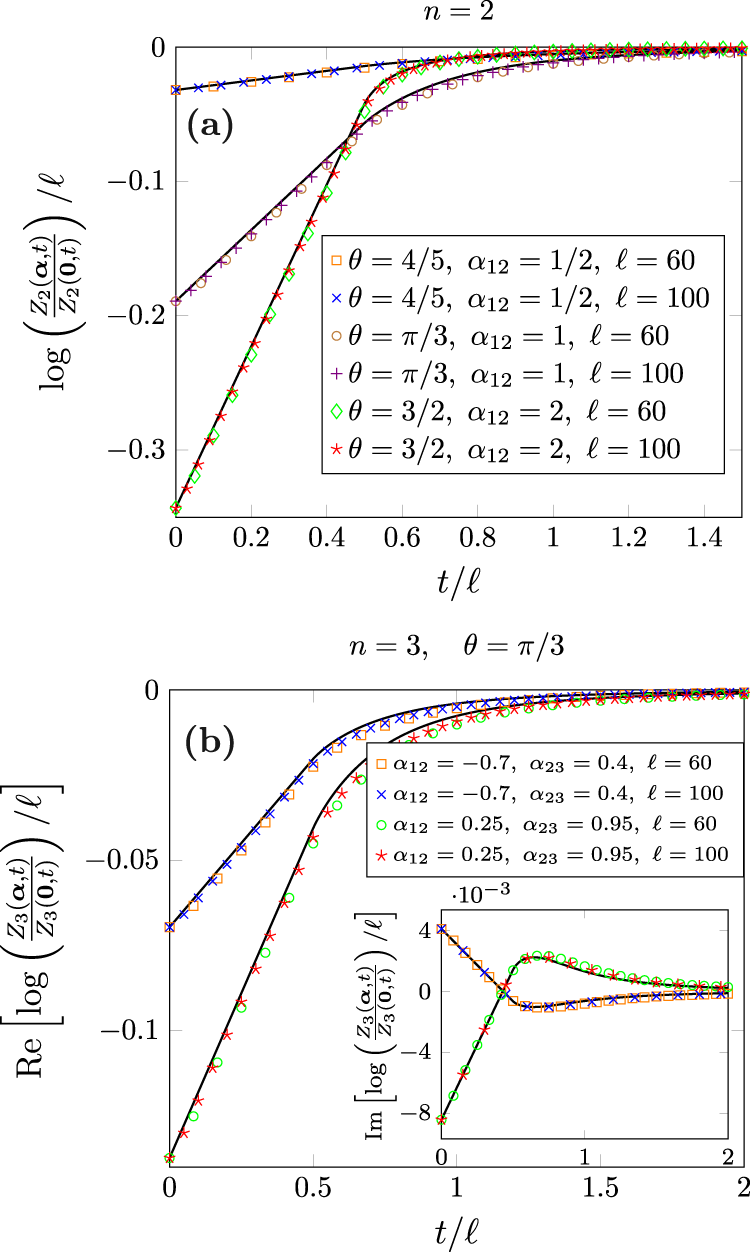
Fig. 5: Time evolution of the charged moments Zn(α, t) after the quench (11).
From: Entanglement asymmetry as a probe of symmetry breaking

We plot them as a function of t/ℓ for the replica indices n = 2 (panel a) and n = 3 (panel b) and several values of the initial tilting angle θ, the subsystem size ℓ, and the phases αj,j+1. The symbols were obtained numerically using Eq. (19) and the continuous lines correspond to the analytic prediction (20). Source data are provided as a Source Data file.