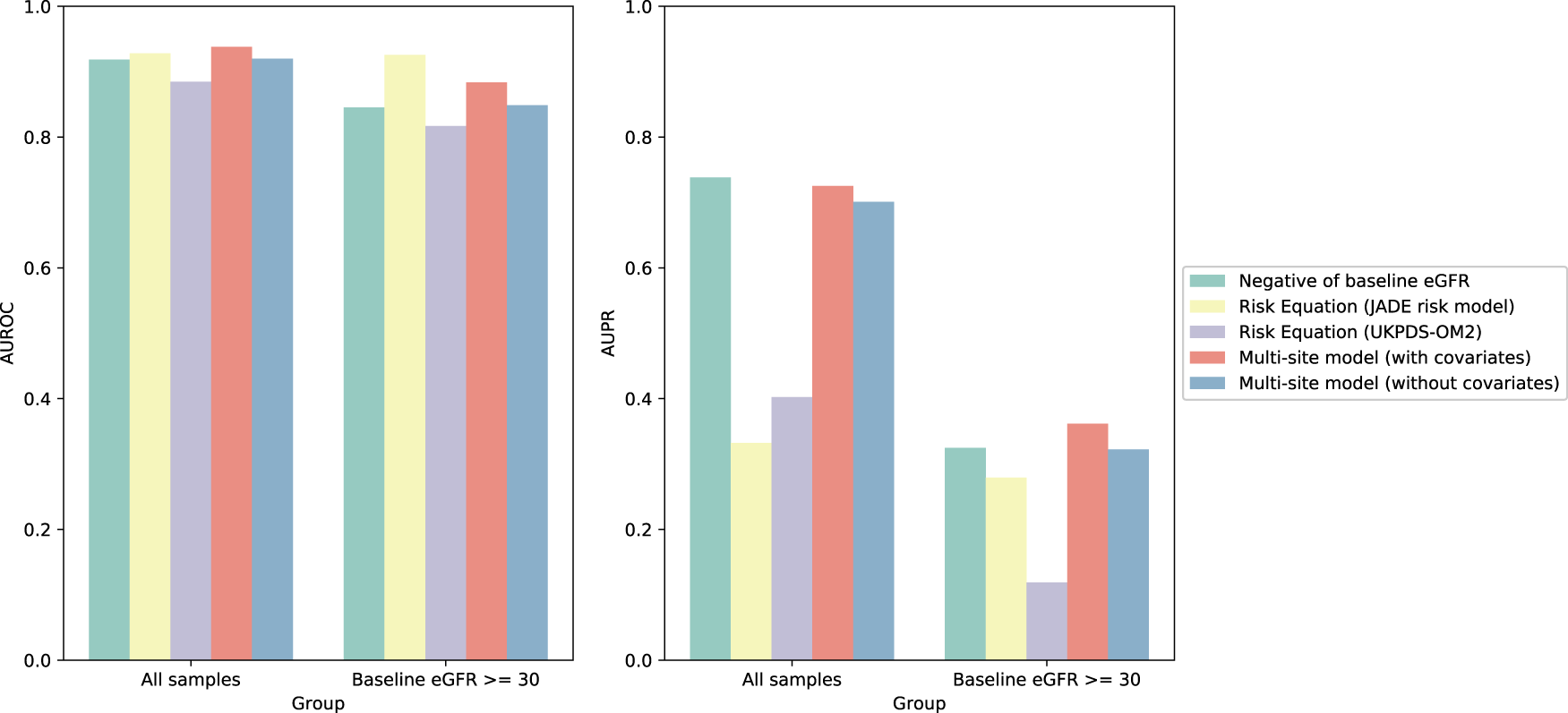
Fig. 4: Performance of risk scores by risk equations and the multisite models.
From: DNA methylation markers for kidney function and progression of diabetic kidney disease

AUROC and AUPR of the risk scores from simple negative value of baseline eGFR, JADE risk model, UKPDS-OM2, and our multisite models with or without covariates. The risk scores of the JADE model and UKPDS-OM2 were calculated with the risk equations in the original paper. The risk scores of the multisite models were calculated using the inferred eGFR slope with 5-fold cross-validation. Source data are provided as a Source Data file.