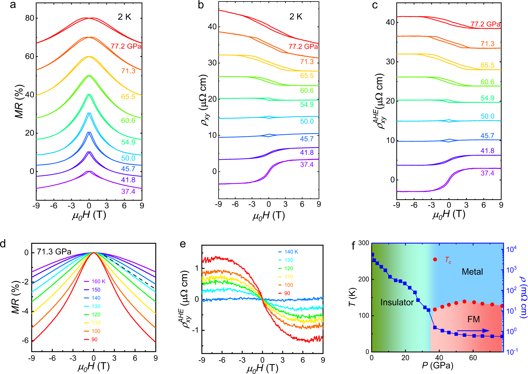
Fig. 2: High-pressure phase diagram of La2O3Fe2Se2.
From: Pressure-induced transition from a Mott insulator to a ferromagnetic Weyl metal in La2O3Fe2Se2

a Pressure dependence of the magnetoresistance for pressurized La2O3Fe2Se2 single crystal measured at 2 K. b The Hall resistivity measured at 2 K under various pressure. c The extracted anomalous Hall resistivity under various pressures. The MR d and Hall coefficient e measurements at various temperatures with pressure at 71.3 GPa. f Pressure-temperature phase diagram of La2O3Fe2Se2 derived from the electric transport measurements.